Introducción
Según Paganini (2018) “las viejas instalaciones petroleras son responsables de más del uno por ciento de las emisiones de CO2”.
De acuerdo Ayuso (2018) cada año se queman mundialmente más de 5,28 billones de pies cúbicos lo que equivale a 4% del gas total producido.
En las zonas donde se quema el gas diariamente se produce lluvias ácidas, afectando a la población y biodiversidad. (Paganini, 2018, p.2).
El gas asociado en función de su caracterización y poder calorífico una vez acondicionado puede ser utilizado en: generación eléctrica, gas blanket y proyectos de recuperación avanzada (IOR).
De acuerdo con Petroamazonas EP (2020), se estimó en promedio la quema de 8.930 MSCFD únicamente para el campo Sacha.
Los bonos de carbono son un mecanismo financiero internacional, cuyo fin es reducir los gases de efecto invernadero disminuyendo en parte los impactos negativos sobre la humanidad, recursos naturales y la economía. (Díaz, 2016, p.14)
En cuanto a la industria petrolera, Ecuador tuvo sus inicios con la venta de bonos de carbono en el año 2011 al recibir 20 millones de dólares de la ONU en reconocimiento a la iniciativa de la estatal Petroamazonas EP para reutilizar el gas obtenido durante el proceso de extracción de crudo en la generación eléctrica en el campo Edén Yuturi. (Álvarez y Ocapana, 2015, p.5)
El presente estudio se aplicó al campo Sacha considerando el aprovechamiento de gas asociado en las plataformas: 420, 410 y 310, direccionando el fluido multifásico hacia la estación Sacha Sur, ubicada a 9 Km de la plataforma más distante, esta estación tiene un aporte de producción de petróleo aproximadamente de 27.160 BPPD, representando el 40% de la producción total del campo. (ARC,2021,p.1)
En la Fig.1 se visualiza las distancias y el número de pozos por cada plataforma.
Al momento todo el gas de las plataformas (2.006 MSCFD) es quemado, por lo cual existe la oportunidad de optimizar los recursos disminuyendo la contaminación que provoca afectaciones directas al medio ambiente y comunidades aledañas, aprovechando la energía no utilizada.
Metodología
El tipo de estudio fue analítico porque se analizó información y datos estadísticos del manejo, uso y quema del gas; descriptivo porque se describieron las facilidades instaladas y se realizó el diseño de nuevas facilidades y nuevos parámetros operacionales para equipos electrosumergibles, el presente estudio se desarrolló en base a las siguientes objetivos:
Reducir la contaminación y emisión de CO2.
Optimizar económicamente el manejo y utilización del gas asociado para generación eléctrica.
Realizar ajustes hidráulicos y rediseños de equipos electrosumergibles instalados.
Etapas del estudio
-
Recopilación de información
Los datos utilizados para el desarrollo del estudio fueron los siguientes:
Producción (diaria, histórico, declinación).
Fluidos (Datos PVT, API, cromatografía, caracterización fisicoquímica).
Pozos (Diagramas mecánicos, historiales de workover).
Facilidades fondo (diseños de BES, curvas de comportamiento).
Facilidades superficie (topografía, planos de plataformas y líneas de tubería, datos de presión y curvas de comportamiento de bombas de transferencia, capacidad de tanques y botas de gas).
-
Primer escenario de simulación
Para el desarrollo de este escenario se consideró condiciones actuales de las bombas electrosumergibles y facilidades de producción. El procesamiento de datos en el software tomó en cuenta los siguientes criterios
Simulación en fondo con datos de reservorio, producción, fluido y bombas electrosumergibles (análisis nodal de los 23 pozos de estudio).
Simulación en superficie con presiones de reservorio como datos de entrada, datos topográficos y operativos de facilidades de superficie (análisis nodal de red en superficie).
Variación de valores simulados y reales
Validación de resultados utilizando margen de error de ±10%.
-
Segundo escenario de simulación
Este escenario tuvo por objeto utilizar únicamente la energía de los sistemas de levantamiento artificial para el transporte del fluido a la facilidad central de producción, sin considerar las facilidades en superficie que conlleva a la quema de gas.
-
Ajuste y sensibilidad del sistema de levantamiento artificial por pozo
Al verificar que el diseño de los equipos instalados es adecuado considerando potencia y número de etapas, se realizaron sensibilidades para el manejo del mismo volumen de producción incrementando la frecuencia para el nuevo escenario de presión requerido en superficie.
Se realizaron variaciones de frecuencias de los equipos electrosumergibles tomando en cuenta lo siguiente:
-
Rediseño de sistema de levantamiento artificial
Los equipos electrosumergibles, que no cumplan el requerimiento de presión de cabeza y/o producción deberán ser rediseñados en función de la potencia requerida y de la optimización, considerando lo siguiente:
-
Análisis del gas en el anular
Partiendo del GOR, Pb, BSW y productividad de pozos se obtiene la producción de gas libre y gas en solución que es básico para el diseño del sistema de levantamiento artificial en función de la presión de intake definida en el gerenciamiento del reservorio.
En yacimientos donde la Pr es igual o menor a la Pb, para el sistema de levantamiento artificial con equipos BES se utilizan dispositivos definidos como manejadores de gas Advanced Gas Handler (AGH) y separadores de gas.
Las eficiencias de los separadores de gas variaron entre 23,98% a 90% en función de los diseños básicos (BOD) para cada una de las BES.
Las presiones de succión, descarga y caudal de gas de cada plataforma fueron requeridos para obtener la potencia de cada compresor.
-
Análisis hidráulico de tubería
Se debe verificar la integridad de la tubería para el manejo adecuado del gas, tomando en cuenta:
-
Análisis económico
Evaluación del aprovechamiento del gas en la generación eléctrica.
Determinación de vigencia del estudio en base a pronóstico de producción de gas.
Estimación de toneladas de CO2 utilizando cromatografía de gas.
Análisis del mercado de bonos de carbono.
Análisis de ahorro en costo operativo.
Determinación de cantidad de gas aprovechado.
El proceso se describe en el diagrama de flujo indicado en la Figura 2.
Análisis de resultados
Este caso de estudio tuvo por objeto optimizar el aprovechamiento de gas evitando su quema y utilizándolo para la generación eléctrica, proponiendo un escenario en el que los sistemas de levantamiento artificial definidos por BES entregarán la potencia necesaria para el transporte de los fluidos producidos desde las plataformas hacia la estación Sacha Sur.
-
Primer escenario de simulación
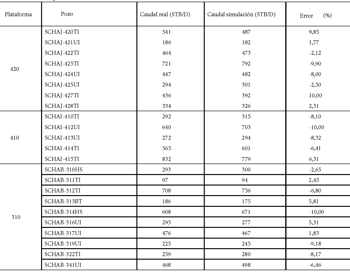
El primer escenario realizado a condiciones actuales para cada pozo de las plataformas 420, 410, y 310 del campo Sacha, se evidencia el ajuste en la tabla 1, existiendo un error en promedio de 6,3%. En la Fig. 3 se visualiza la configuración actual de cada una de las plataformas.
Para las bombas de transferencia se utilizó el ajuste de presión presentado en la tabla 2, existiendo un error promedio de 5,7% validando el escenario de simulación.
-
Segundo escenario de simulación
Esta simulación fue llevada a cabo tomando en cuenta las producciones reales de los pozos de estudio, de tal forma que los resultados proporcionaron las presiones de cabeza óptimas para que el fluido (agua, petróleo y gas) pueda ser transportado desde las diferentes plataformas hasta la estación Sacha Sur utilizando la energía suministrada por los motores de las bombas electrosumergibles, propuesta definida en la Fig. 4.
Los resultados del segundo escenario indican que las distancias de ubicación de las diferentes plataformas influyen de manera proporcional con los valores de presión de cabeza obtenidos en la simulación, de modo que, la plataforma 420 siendo la más alejada requiere un aumento de 200 psig; la plataforma 410 de 160 psig; y la plataforma 310, la más cercana a la estación Sur, de 100 psig. (Ver tabla 3)
-
Sensibilidad de los equipos BES
Los 23 pozos de análisis fueron sometidos a sensibilidades con el fin de determinar la frecuencia de operación óptima de los equipos BES, con las cuales se logrará mantener la producción de las tres plataformas (9.637 BFPD) bajo las nuevas condiciones de presión de cabeza definidas en el segundo escenario de simulación.
El análisis de sensibilidad demostró que 21 pozos logran mantener el caudal subiendo las frecuencias de operación (ver tabla 4); sin embargo, como lo indican las figuras 5 y 6 los equipos de fondo de los pozos SCH-420, y SCH-422 no permiten hacer el ajuste para el incremento de frecuencia, generando pérdidas de producción de alrededor de 609 BFPD.
-
Rediseño de sistemas de levantamiento artificial
Para mantener la producción bajo las nuevas condiciones de presión en cabeza, los equipos BES de los pozos SCH-420, y SCH-422 que no suministraron la suficiente energía fueron sometidos a un rediseño utilizando el software que ayudó a establecer el número de etapas necesarias para vencer las nuevas presiones de cabeza, manteniendo el mismo tipo de bomba y potencia de motor. En la tabla 5 se describe las etapas que fueron determinadas mediante simulación para el rediseño.
-
Análisis del gas en el anular
En los diseños actuales de los equipos electrosumergibles se utilizan manejadores de gas como Advanced Gas Handler (AGH) y separadores de gas.
En la tabla 6 se describe el número de pozos con las completaciones instaladas actualmente para el manejo de gas.
El gas libre proveniente de los dispositivos de fondo en las tres plataformas se estima en un total de 1.300 MSCFD, este gas producido por el espacio anular se recolectará en cada plataforma por medio de un colector de 3,5 inch direccionándolo hacia un scrubber, en donde se separa el gas de los condensados para direccionarlo hacia un compresor; una vez comprimido el gas retornará a la línea de producción general de la plataforma. Mientras que el gas restante 614 MSCFD manejado por los equipos BES será bombeado en solución desde los pozos a través de la línea de producción.
En la tabla 7 se visualiza los datos actuales para diseño y la potencia requerida para la implementación de compresores rotativos de alta presión
-
Análisis hidráulico de tubería
La cantidad de gas que se deja de quemar en las plataformas será transportada por las líneas de producción hasta la estación donde será aprovechado en la generación de energía; para conocer si la tubería cumplía con los requerimientos necesarios se analizó la retención de líquido y el radio de velocidad erosional.
La gráfica de retención de líquido muestra que el gas se encuentra en solución, ya que al no encontrarse entre los valores límites de 0 (líquido) y 1 (gas), no se evidencia presurización en la línea. (Ver figuras 7-8)
En la tabla 8 se muestra los resultados del radio de velocidad erosional, en donde se establece que al estar bajo los márgenes permitidos (EVR < 0,8) el gas no afecta la integridad de la tubería generando erosión.
-
Análisis económico
Luego de haberse llevado a cabo el estudio técnico y analizar el escenario propuesto, fue importante evaluar económicamente el aprovechamiento del gas que no se quemará en las plataformas.
Para el análisis económico se consideró el uso total del gas producido, inversión en facilidades de superficie (3 compresores, 4 generadores de gas), venta de equipos instalados (bombas, separadores, tanques y mecheros) y costos operativos y de mantenimiento.
Producto de la generación eléctrica con el gas aprovechado, se obtiene un costo 0,06 USD/kWh (calculado), considerando que el costo referencial industrial establecido por la Agencia de Regulación y Control de Electricidad del Ecuador es de 0,091 USD/kWh, obteniendo un ahorro del 37% por cada kWh.
Además, se tomó en cuenta la venta de bonos de carbono a un costo de 5 USD/CO2 como se indica en la tabla 9.
La proyección económica del presente estudio fue realizada para 6 años, determinando un ahorro 5’935.120 USD.
Discusión
Las operaciones en la industria petrolera se realizan bajo un marco legal sustentado por el Reglamento Ambiental de Actividades Hidrocarburíferas del Decreto No. 1215 que contempla normas de sostenibilidad, prevención y cuidado medioambiental en el Ecuador
Bajo este concepto y tomando en cuenta las fuertes afectaciones tanto ambientales como sociales que genera la quema de gas en los mecheros, el estudio realizado demostró que se puede aprovechar el gas asociado de tres plataformas en la generación eléctrica.
La propuesta del estudio, de evitar la quema de gas en cada una de las plataformas mediante el transporte de todo el gas libre y en solución desde cada una de las plataformas hasta la estación central de producción Sacha Sur en conjunto con la producción de petróleo y agua mediante la potencia de los motores de los equipos electrosumergibles instalados, permite la no contaminación del medio ambiente como lo señala Paganini (2018), utilizándolo para generación eléctrica.
De la simulación realizada se requiere el incremento de presión de cabeza en cada uno de los pozos, para que de esta manera ecualizando presiones los equipos electrosumergibles lleguen a la producción actual en función del incremento de frecuencia.
El aprovechamiento de gas evita emisiones de CO2 a la atmósfera que bajo un mecanismo de desarrollo limpio puede ser vendido como bonos de carbono, generando beneficios económicos según lo establecido por Díaz (2016). Además, dejando de quemar gas en las diferentes plataformas, se logra un ahorro por pago de indemnizaciones a las comunidades aledañas como consecuencia de daños ambientales, en función en lo establecido en el Acuerdo Interministerial N° 001.
Con esta referencia, el proyecto demostró que puede generar un ahorro de $ 5.935.120 por el uso del gas en la generación eléctrica, evitando las emisiones de 241.121 Ton de CO2 durante los 6 años de vigencia.
Abreviaturas y acrónimos
API: Instituto Americano del Petróleo
BES: Bomba electrosumergible
BFPD: Barriles de fluido por día
BSW: Agua y sedimentos CPF: Facilidad Central de Producción
EVR: Radio de velocidad erosional
GOR: Relación gas petróleo
Inch: Pulgadas
MSCFD: Miles de pies cúbicos estándar por día.
P: Potencia
Pb: Presión de burbuja
Pr: Presión de reservorio
Ps: Presión de succión
Pd: Presión de descarga
PVT: Presión, volumen y temperatura
Qg: Caudal del gas
Ton: Tonelada
Conclusiones
La hidráulica desarrollada para el escenario propuesto demuestra que se requiere un aumento de presiones de cabeza de 200, 160 y 100 psig para las plataformas 420, 410 y 310 respectivamente.
Se realizaron los ajustes con el nuevo valor de presión para los 23 equipos BES instalados, 21 equipos cumplen el requerimiento de producción, incrementando 4 Hz en promedio y dos equipos no cumplen el requerimiento por lo cual se deberá rediseñar los equipos con motores de mayor potencia, para mantener el nivel de producción.
La producción total de gas 2.006 MSCFD, proveniente por medio del espacio anular de 1.392 MSCFD y del gas libre y gas en solución por medio de las bombas electrosumergibles 614 MSCFD, será aprovechada para generación eléctrica en la estación Sacha Sur.
Para el manejo del gas proveniente del espacio anular 1.392 MSCFD, se deberá implementar el uso de compresores para comprimir desde 50 - 270 psig, con una potencia de 30 - 45 HP para cada compresor en cada una de las plataformas.
De ser implementado el estudio la integridad de las líneas de producción no se verá afectada por la presencia de gas, de acuerdo con los resultados de EVR con valores inferiores a 0,8 y retención de líquido.
El aprovechamiento de 2.006 MSCFD producidos en las tres plataformas de estudio generará un ahorro de $5’935.120 por generación eléctrica y venta de bonos de carbono, evitando las emisiones de 241.121 Ton de CO2.
Recomendaciones
Realizar la simulación de flujo multifásico considerando el volumen líquido y gaseoso en el cabezal de cada pozo y el gas comprimido.
En caso de que los compresores lleguen a fallar se debe tener la alternativa para manejo del gas, mediante un compresor de reserva o la quema puntual del gas hasta la reparación del compresor.































