INTRODUCCIÓN
El uso de materiales compuestos convencionales reforzados con fibra de vidrio ha sido recientemente discutido críticamente debido a la creciente conciencia ambiental. Por lo tanto, los esfuerzos recientes de investigación y desarrollo han llevado a nuevos productos basados en recursos naturales. Algunos de estos son polímeros biodegradables como PLA (ácido poliláctico), ésteres de celulosa, polihidroxialcanoes y polímeros de almidón. Además, los polímeros reforzados con fibra natural hechos con fibras naturales como las fibras de lino, cáñamo, kenaf, yute o algodón son importantes logros en investigación y desarrollo (I&D). Los compuestos hechos de fibras naturales y biopolímeros son completamente biodegradables y se denominan “compuestos verdes” debido a sus propiedades beneficiosas para el medio ambiente (Bax, 2008).
Los “bioplásticos” se denominan a los materiales plásticos biodegradables que tienen su origen en materias orgánicas provenientes de fuentes renovables. Los cuales se degradan por la acción de los microorganismos.
El desarrollo de materiales compuestos con matriz polimérica biodegradable y fibras de origen natural ha sido objeto de investigación en aplicaciones industriales en los últimos años (Varvani-Farahani, 2010). La conciencia ambiental, las legislaciones y el uso racional del recurso, implica la sustitución gradual de materiales poliméricos sintéticos a base de petróleo, por materiales compuestos sostenibles (Senthilkumar et al., 2018) Los materiales compuestos de matriz polimérica degradable, con fibras naturales a partir de fuentes renovables han demostrado buenas propiedades mecánicas y se destacan como una alternativa en la industria manufacturera (Porras et al., 2016) (Oksman et al., 2003).
Los procedimientos de fabricación de materiales compuestos son muy diversos, dando como resultado un material completamente nuevo, con propiedades distintas al relacionarlas entre la fibra y la matriz (Chang y Lees, 1988) El proceso de extrusión, una forma de conformar el material compuesto permite el aumento en la distribución de las partículas fibrosas, al combinar el material termoplástico con las fibras naturales de tamaño reducido (Gaska et al., 2017).
Existe un enorme potencial de los materiales compuestos biodegradables, y cada vez son más accesibles los materiales poliméricos de origen natural, esta diversidad de polímeros renovables: por ejemplo, el PLA, PHBV, polímeros en base de almidón y lignina, han demostrado ventajas de compostabilidad y degradabilidad (Armentano et al., 2015), además tienen muchas aplicaciones y métodos de procesabilidad.
El PLA se produce a partir del ácido láctico a través de la fermentación de productos agrícolas como el maíz, arroz, papa, caña de azúcar, desechos agrícolas. El PLA se puede preparar tanto por condensación directa de ácido láctico como por polimerización, como se muestra en la figura 1.
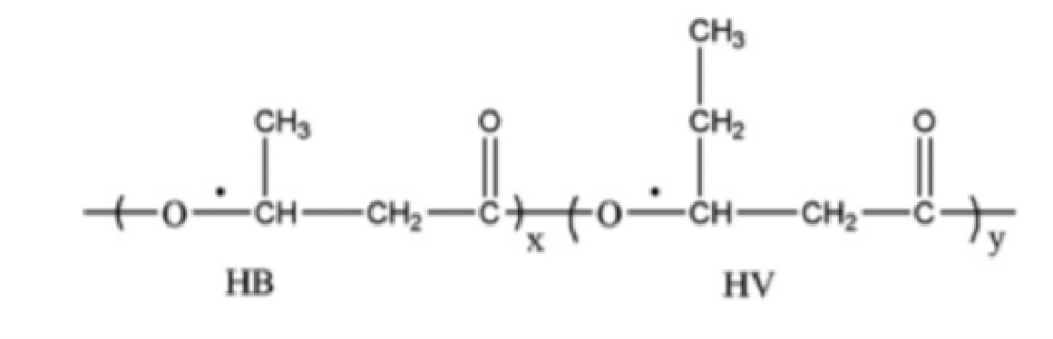
El poli (hidroxibutirato-co-hidroxivalerato) (PHBV) es un ejemplo típico de PHA, que es producido por bacterias de materias primas agrícolas y tiene buena biodegradabilidad, biocompatibilidad y termoplasticidad. La estructura química de PHBV se muestra en la figura 2. Las propiedades físicas de PHBV varían con el aumento del contenido de hidroxivalerato (HV), que puede controlarse mediante la fuente de carbono suministrada en la biosíntesis.
La fibra de origen celulósico, presente en un material compuesto, mejora notablemente las propiedades mecánicas de la matriz, actuando como agentes de nucleación debido a su forma heterogénea (Arias et al., 2017). De la misma manera existe una gran variedad de fibras provenientes de fuentes renovables con bajo impacto ambiental, menor peso y buenas propiedades mecánicas como por ejemplo el lino, yute, abacá (Yan et al., 2014).
Generalmente los porcentajes de elementos que sirven como la parte fibrosa del material compuesto son muy variadas, como cascaras de almendras incluidas en el refuerzo del mismo (Quiles-Carrillo et al., 2018), o el efecto del contenido de bambú en las propiedades mecánicas de material compuesto (Qian et al., 2018), sin embargo las posibilidades son inmensas y lo más importante es realizar un correcto procesamiento del material de refuerzo para poder conseguir buenas cualidades (Da Silva Moura et al., 2019).
METODOLOGÍA
Esta investigación pretende evaluar el comportamiento de biopolímeros, con refuerzo de fibra, con el proceso de extrusión, trituración e inyección, con el fin de optimizar las propiedades mecánicas de los composites obtenidos. Para ello se ha seleccionado como matriz varios polímeros termoplásticos degradables que serán reforzados con fibra de lino, con diferentes concentraciones, usando un método de fabricación por extrusión para obtener pellets.
Los materiales poliméricos utilizados se importaron, tienen buenas propiedades, y de acuerdo a sus características presenta buenas condiciones térmicas, todos estos materiales pueden ser utilizados en el proceso de inyección (Tabla 1) Para comprobar las temperaturas de fusión y mejorar la procesabilidad del mismo se realizan ensayos térmicos que comprueben lo planteado por los fabricantes, principalmente se realiza la calorimetría diferencial de barrido (DSC) (PerkinElmer Inc, 2013).
La fabricación de la placa base de biopolímero comprende varios procesos: extrusión, peletizado e inyección del material biocompuesto. El proceso de extrusión combina el material biopolímero (PLA, PHBV) con fibras de origen natural (lino) para obtener un filamento de material compuesto. La proporción del refuerzo fibroso es del 10 y 20% en peso. Los pellets de biopolímero (PLA, PHBV, Termoplástico con base de almidón) se alimentan en la tolva de la extrusora y se combina con la fibra de lino cortada en segmentos de 2-3 mm. El material fibroso se introduce de manera continua en una tolva auxiliar, dosificado manualmente durante la totalidad del proceso de extrusión (Figura 1). La figura 3 muestra la etapa final de proceso de extrusión y la solidificación completa del filamento de material compuesto.

Figura 3 Proceso de Extrusión del biomaterial en máquina de extrusión de doble tornillo para termoplásticos de marca Coperion-serie ZSK18ML

Figura 4 Obtención de filamento biocompuesto en extrusora de doble tornillo para termoplásticos de marca Coperion-serie ZSK18ML
El peletizado del material compuesto consiste en la fragmentación del filamento en la máquina trituradora, se obtienen partículas pequeñas del tipo granza (Figura 5). El material compuesto peletizado es inyectado para obtener placas de 180x200 mm con un espesor de 2,3 mm. La unidad de plastificación calienta el biocompuesto hasta su temperatura de fusión para finalmente, ser introducido al molde con la geometría deseada (Figura 4).
RESULTADOS
Material
Los resultados de los materiales utilizados se resumen en la siguiente descripción: Ácido poliláctico (PLA), producido por FKuR Kunststoff GmbH, en forma de granza (Bio-Flex F9533). Poli (hidroxibutirato-co-hidroxivalerato) (PHBV), sumistrado por Tianan Biologic Material Co. en forma de granza (ENMAT Y1000P). Compuesto con base de almidón termoplástico y/o ácido láctico y/o copolímeros, producido por Rodenburg Biopolymers, en forma de granza (Solanyl C1201), son utilizados como matriz polimérica. Así también se usó fibra corta de lino inferior a 3mm de longitud, como refuerzo para obtener el material compuesto biodegradable, la carga se la realizó al 10% y 20% en peso.
La Escuela Politécnica Nacional y el laboratorio de nuevos materiales de la facultad de Ingeniería Mecánica, facilitaron la utilización del equipo para realizar el ensayo térmico denominado Calorimetría Diferencial de Barrido, de sus siglas en inglés DSC (Figuras 5, 6, 7). Estos diagramas permiten visualizar las temperaturas óptimas para procesar el material polimérico.
La figura 7 representa las transiciones térmicas de los polímeros que se dan cuando el material es calentado, por ejemplo la temperatura de fusión y de transición vítrea. Equipo DSC Q2000 método Zafiro.
La figura 8 representa las transiciones térmicas de los polímeros que se dan cuando el material es calentado, por ejemplo la temperatura de fusión y de transición vítrea. Equipo DSC Q2000 método Zafiro.
La figura 9, representa las transiciones térmicas de los polímeros que se dan cuando el material es calentado, por ejemplo la temperatura de fusión y de transición vítrea. Equipo DSC Q2000 método Zafiro
El DSC muestra un rango de temperaturas donde se presentan picos de flujo de calor que indican fenómenos endotérmicos, necesarios para poder fundir el material polimérico. De esta manera las temperaturas resultantes, para lograr procesar el material son: BIOFLEX F9533 (167,16°C), ENMAT Y3000P (178,62°C) y SOLANYL C1201 (142,71°C).
PROCESO
Las chapas de material compuesto fueron fabricadas mediante extrusión e inyección. Para la obtención del material granulado o pellets de material compuesto se utiliza una extrusora de doble tornillo para termoplásticos de marca Coperion y serie ZSK18ML con potencia de 30 hp, con gran capacidad para mezclas, las fibras de refuerzo fueron alimentadas con fibras cortas por medio de una tolva, lo que permite una distribución homogénea de los materiales. Antes de alimentar el termoplástico y la fibra, se realiza el secado de los mismos en un horno de convección a 70°C, para evitar la acumulación de material en el tornillo que gira dentro de la cámara calefactora (Figura 10).
La tabla 2 presenta los valores de presión y temperatura recomendables para un correcto procedimiento de extrusión de estos materiales. Existen tres zonas donde se debe considerar la temperatura, en la entrada donde se alimenta el material (A), la parte intermedia de la camisa calefactora (I) y la boquilla de salida (S). La presión es controlada a medida que se alimenta el material fibroso y se recomienda no exceder un máximo de 30 bar.
El biopolímero y la fibra natural atraviesan la boquilla de extrusión, que luego se tritura y se obtienen pellets. Esta granza o pellets sirven como material pre conformado, posteriormente se le atribuye una geometría definida mediante el proceso de inyección. La máquina de inyección usada es de marca NISSEI modelo NS-60 de 185 MPa de presión, se colca un molde de acero, donde se inyecta el material compuesto, para finalmente obtener chapas o láminas. Mediante el proceso de extrusión las fibras se orientan de manera aleatoria con la matriz termoplástica, se mejoran las propiedades mecánicas y se refuerza el material base. El proceso de inyección permite definir la forma a obtener y presenta un producto final con buenas características (Figura 11).
La tabla 3 presenta los valores de presión y temperatura recomendables para un correcto procedimiento de inyección con materiales biodegradables con porcentajes de carga definidos. Existen cuatro zonas donde se debe considerar la temperatura, la boquilla de inyección (Z1), Zona intermedia de alta temperatura (Z2), zona intermedia de baja temperatura (Z3), y en el área de alimentación (Z4).
La presión está definida por la máquina inyectora y se establece en porcentaje, el valor recomendable es de 40%, para evitar que el material se degrade y que la pieza obtenida, en este caso placas rectangulares, no contengan defectos.
CONCLUSIONES
Es necesario reducir el tamaño de la fibra para poder procesar el material, en el husillo de mezclado de la extrusora el tamaño promedio de la fibra debe ser de 3 mm de longitud y mantener la temperatura de fusión del material de acuerdo a lo obtenido en los ensayos de calorimetría diferencial de barrido: BIOFLEX F9533 (167,16°C), ENMAT Y3000P (178,62°C) y SOLANYL C1201 (142,71°C), aunque no todos los materiales pudieron ser procesados, mediante la inyección, se encontraron parámetros esenciales para conformar el material.
En el país la conciencia sobre el uso responsable de los recursos renovables y no renovables, ha sido un tema bastante conflictivo, debido a que no existe una legislación rigurosa sobre la manipulación de este tipo de materiales, sin embargo, esta investigación proporciona parámetros fundamentales para el procesamiento de estos recursos, estos procesos se fundamentan en técnicas modernas para manipular los materiales poliméricos y que son las nuevas líneas de tendencia, en lo que concierne al estudio de materiales biocompuestos. El siguiente trabajo es la caracterización de los materiales obtenidos.
Finalmente, este proceso de obtención del material tiene una finalidad ambiciosa, donde el producto obtenido, sirva para analizar las características necesarias en el proceso de conformado incremental y proveer un prefabricado eficiente y amigable con el medio ambiente. Una vez obtenidos los pellets o granza de material compuesto, estos pueden ser alimentadas en la tolva de una máquina inyectora de termoplástico, y mediante proceso de inyección se puede obtener el producto deseado. De acuerdo a las propiedades obtenidas del material compuestos estos pueden ser usados en aplicaciones médicas, agrícolas, del sector automotriz, productos de hogar, entre otras.


























