INTRODUCCIÓN
Debido a que las aguas de origen natural contienen contaminantes que son el resultado tanto de la erosión del suelo, como de la disolución de minerales y de la descomposición de la materia orgánica (Tabla 1); éstas deben ser clarificadas durante el tratamiento de potabilización. Los contaminantes sólidos, afectan las características del agua, principalmente el color y la turbidez. Estos contaminantes están constituidos, en su mayor parte, por minerales calizos de diversos tamaños, los más pequeños –menores de 100 nm– denominados partículas coloidales (Ríos et al., 2006).
La coagulación-floculación es el proceso más utilizado en la eliminación de partículas sólidas coloidales que causan turbidez y cambio de coloración en el agua. La eficacia de los procesos de coagulación-floculación, depende de la posibilidad de solvatación y de la carga superficial de los coloides (Ramírez & Padilla, 2015). La coagulación consiste en agregar al agua un coagulante capaz de neutralizar la carga eléctrica superficial del coloide, mientras que la floculación es la agrupación de las partículas descargadas para formar un aglomerado llamado flóculo, cuyo tamaño y densidad permiten su precipitación (Fuentes et al., 2008).
El sulfato de aluminio es el agente coagulante más ampliamente utilizado en las plantas de tratamiento debido a su probada efectividad y bajo costo. Sin embargo, estudios han reportado que el aluminio residual podría inducir enfermedades neurológicas, tales como el Alzheimer, síndromes de demencia y disminución de la capacidad motora y mental (Rodríguez et al., 2015). La dosis letal media (DL50) vía oral del aluminio es superior a 5000 mg/Kg (GTM, 2016) (MERCK, 2018), siendo su uso seguro en la mayor parte de aplicaciones. A pesar de que la clarificación del agua para potabilización utilizaría concentraciones bajas de sulfato de aluminio, que se encuentran muy por debajo del DL50, se deben considerar sus efectos acumulativos. La incidencia del aluminio en enfermedades del sistema nervioso central, específicamente el Alzheimer, fue estudiada por Perl (1985), debido a su hallazgo de la acumulación de aluminio en el cerebro de pacientes con esta enfermedad (Citado en Trejo & Hernández, 2004). Además, Martyn et al. (1989) y Forster et al. (1995) consideran que, siendo la alimentación la fuente de ingesta más importante de aluminio, este metal presenta la forma más biodisponible en el agua y puede ser absorbido fácilmente por el intestino, adicionalmente definen que, el aluminio procedente de otras fuentes no puede ser absorbido de igual manera.
Debido a estos problemas, se han utilizado algunos coagulantes naturales como almidón de yuca (Manihot esculenta) (Solís et al., 2012); extractos de algunas Cactáceas como Echinopsis pachanoi, Neoraimondia arequipensis y Opuntia ficus (Choque et al., 2013), con resultados interesantes. También se han utilizado biopolímeros como la quitina y el quitosano.
El quitosano es un polímero catiónico lineal, biodegradable, no tóxico, de alto peso molecular, de fácil aplicación y ambientalmente amigable. Se ha demostrado que la presencia de los grupos amino libres en la estructura del quitosano le confieren la capacidad para coagular sustancias coloidales; además su uso permite aumentar la acción de coagulantes orgánicos (Maldonado, 2018) e inorgánicos convencionales (Caldera et al., 2009), por lo que es ampliamente empleado como coagulante primario en el tratamiento de aguas de origen natural y aguas residuales (Caldera et al., 2011).
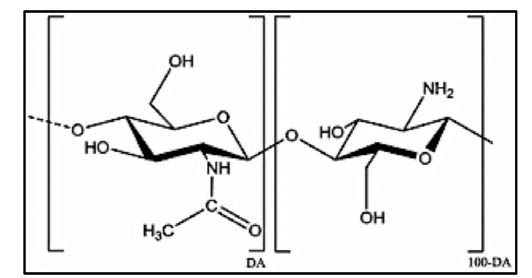
Químicamente, el quitosano es un biopolímero compuesto por cadenas de β–(1,4)–D–glucosamina, unidad desacetilada (figura 1 – 100DA) y N–acetil–D– glucosamina como unidad acetilada (figura 1 – DA), que se encuentran distribuidas aleatoriamente. Se obtiene como el principal derivado de hidrólisis alcalina de la quitina y puede ser caracterizado por el porcentaje de unidades de β–(1,4)–D–glucosamina existentes en la cadena polimérica –porcentaje de desacetilación– Comercialmente la hidrólisis alcalina produce quitosano con un 75 – 80% de desacetilación. La desacetilación completa de la quitina provee un compuesto totalmente soluble en medio ácido llamado quitano (Nieto & Orellana, 2011).
Por ser un polímero no tóxico y biodegradable, es utilizado en numerosas aplicaciones industriales, algunas de las cuales se describen en la tabla 2.
En las soluciones ácidas de quitosano, los grupos amino (–NH2) libres de la β–(1,4)–D–glucosamina, son capaces de captar protones utilizando los electrones libres del nitrógeno en un equilibrio ácido– base (figura 2), que da como resultado la carga parcial positiva de los grupos amonio (–NH3)+ formados. El quitosano, por su carácter catiónico es capaz de solvatar y neutralizar la carga negativa de lo sólidos coloidales presentes en el agua, produciendo la coagulación y floculación de éstos.
Por la importancia del quitosano en los procesos de coagulación-floculación de los sólidos coloidales, presentes en aguas superficiales y, para definir una alternativa para reemplazo del sulfato de aluminio en el tratamiento de aguas crudas, se deben definir los rangos de concentración en los cuales se presente una disminución significativa de la turbidez. Con esta finalidad se ha utilizado en este estudio el agua de ingreso a la planta de tratamiento de Bellavista, que abastece de agua potable al sector centro norte de la ciudad de Quito. La reserva de agua cruda de la planta de tratamiento de Bellavista es alimentada por el Sistema Papallacta integrado, que es el más grande con el que cuenta la ciudad de Quito. Este sistema capta agua de varios ríos de la parte oriental de la provincia de Napo, fundamentalmente de los ríos Papallacta, Blanco Chico, Cojancos en la población de Papallacta, adicionalmente en la parte alta de la cordillera Salve Faccha, Mogotes y Sucos y captaciones secundarias adicionales (EPMAPS, 2015).
METODOLOGÍA
Se colectaron muestras del agua de ingreso en la planta de tratamiento de agua potable de Bellavista Quito y se caracterizó el agua cruda mediante mediciones de pH, turbidez, tamaño de partícula y polidispersión de los sólidos suspendidos.
Las pruebas de jarras se realizaron en equipos de agitación magnética THERMO Scientific. Utilizando un volumen constante de agua, se añadieron volúmenes variables de una solución de 1000 ppm de quitosano SIGMA ALDRICH de 75 – 80% de desacetilación y peso molecular medio, disuelto en ácido acético MERCK grado analítico 0,1% V/V, de acuerdo a los datos presentados en la tabla 3.
Los análisis se realizaron a una temperatura constante de 20°C, agitando el agua con el quitosano, por un minuto, a 360 rpm y por 20 minutos a 60 rpm; las muestras se dejaron en reposo por 30 minutos y se midió la turbidez de las muestras de agua tratadas en un turbidímetro HACH–2100Q. Se consideró la disminución de turbidez del agua, contrastada con el blanco. Igual metodología se utilizó para el tratamiento del agua, con sulfato de aluminio; se utilizó Al2(SO4)3.18H20 Fisher Scientific, grado analítico.
El tamaño de partícula y la polidispersión de las muestras fueron medidos en un equipo de dispersión dinámica de luz (DLS) Nanopartica SZ–1000 Series y en un pH–metro LAQUA–F–72 Horiba Scientific, respectivamente.
DISCUSIÓN
Caracterización de las muestras analizadas
El agua de ingreso a la planta de tratamiento de Bellavista tuvo un pH experimental de 7,02. Este valor aseguró que no exista influencia sobre el equilibrio ácido-base del quitosano disuelto, en ácido acético 0,1%, favoreciendo la formación del catión amonio que actúa como neutralizador de la carga de los sólidos en suspensión, lo que facilitó la coagulación y posterior floculación de éstos.
Experimentalmente, se determinó que el agua de ingreso a la planta de tratamiento de Bellavista tiene una turbidez de 2,28 NTU. Con este valor no es posible evidenciar, a simple vista, la presencia de sólidos suspendidos, por lo que para verificarlos se midió el tamaño de partícula y la polidispersión. Se obtuvieron valores promedio para el tamaño de partícula de 17.763,0 ± 72,6 nm, lo cual indica que, en la muestra de agua analizada, se tienen sólidos suspendidos de tamaño superior a las partículas coloidades que se encuentran entre 1 – 100 nm (Ríos et al., 2006).
Por otro lado, se puede establecer que, a pesar del tamaño medido, los sólidos presentes se encuentran suspendidos en el agua de ingreso a la planta de tratamiento, lo cual puede deberse a la solvatación que producen las moléculas de agua, estabilizando la carga de los sólidos (Maldonado, 2018). El valor inicial de la turbidez del agua, determinado experimentalmente, se encuentra por debajo de la norma ecuatoriana, que especifica una turbidez máxima permitida de 5 NTU (INEN, 2011), para que sea apta para consumo humano.
La polidispersión define la heterogeneidad de un sistema coloidal, referida a la variabilidad de los pesos moleculares de los sólidos presentes, en un sistema dispersante. Este índice varía entre 1 – 50, acercándose a la unidad en un sistema monodisperso y a 50 para un sistema en extremo polidisperso (Romo, 1981). El valor experimental, para el índice de polidispersión de las muestras de agua analizadas fue de 30,9 ± 6,5, por lo que la mezcla de agua cruda colectada en la planta de tratamiento de Bellavista, en la ciudad de Quito, puede definirse como un sistema polidisperso, donde la distribución de los pesos moleculares medios de los sólidos, en suspensión, es altamente heterogénea.
Prueba de jarras
La comparación del comportamiento de quitosano con el del sulfato de aluminio, respecto de la turbidez inicial del agua cruda (2,28 NTU), se define en la figura 3. En concentraciones altas, en el rango de 100 160 ppm de coagulante-floculante, para el caso de quitosano se encontró que los valores menores de turbidez están entre 2,22 2,21 NTU. El menor valor de turbidez medido, luego de la prueba de jarras, se da a una concentración de 140 ppm de quitosano y corresponde a 2,08 NTU. Este valor indica que el quitosano provoca una reducción en la turbidez inicial del agua correspondiente al 20% (figura 4).

Figura 3 Turbidez vs concentración de coagulante-floculante Comparación del comportamiento de quitosano vs sulfato de aluminio
En lo que respecta al sulfato de aluminio (figura 3), en el mismo rango de concentraciones utilizadas para quitosano, se generó un incremento de la turbidez que va desde 6,14 a 6,33 NTU. El valor más bajo de turbidez en el agua analizada se obtiene en la concentración de 140 ppm de sulfato de aluminio con un valor de 5,58 NTU, lo que corresponde a un incremento de turbidez de 144,7%, respecto del valor inicial del agua analizada.
En concentraciones bajas de sulfato de aluminio (32 ppm), la turbidez de agua tratada baja a 1,96 NTU (figura 3), que corresponde a 57,9% de reducción respecto del valor inicial. Estos valores son coincidentes con los reportados en la literatura (Barajas & León, 2015). Para el caso de quitosano el descenso se observa, cuando la concentración de biopolímero se encuentra en 8 ppm con una turbidez medida de 1,83 NTU (figura 3), correspondiente a 19,7% de reducción, respecto del valor inicial medido.
Además, se observó que el incremento gradual de la concentración de quitosano genera descensos significativos de turbidez para las secuencias de concentración entre 0 y 16ppm y de 100 a 160 ppm, como se puede apreciar en la figura 4. En los demás segmentos de la curva, los incrementos de concentración de quitosano generan incrementos de la turbidez del agua y no su disminución.

Figura 4 Disminución de Turbidez vs concentración de coagulante-floculanteComparación del comportamiento de quitosano vs sulfato de aluminio
En lo que respecta al sulfato de aluminio, se observó que los segmentos de concentración en los que se obtiene reducción significativa de la turbidez del agua son pequeños, puntuales, como se puede apreciar en la figura 4. El primero va de 0 a menos de 8 ppm, mientras que el segundo se compone de un segmento cuyo valor es puntual de 32 ppm, lo que corrobora las observaciones anteriores realizadas en el marco de otras mediciones (Barajas & León, 2015).
Las curvas de la figura 4 muestran, además, como los segmentos significativos del quitosano cubren secciones de curva más amplias, frente a los valores puntuales del sulfato de aluminio. Por lo cual es más flexible el empleo de quitosano para la clarificación del agua, frente a las restricciones puntuales del sulfato de aluminio, es decir, el manejo del tratamiento del agua cuenta con opciones múltiples, a la hora de decidir estrategias para diferentes calidades de agua superficial.
Finalmente, la contribución significativa del sulfato de aluminio a la disminución de la turbidez del agua se manifiesta a partir de los 200 ppm, mientras que la del quitosano, a partir de los 100 ppm.
CONCLUSIONES
Se determinó que el quitosano tiene efecto coagulante-floculante en aguas superficiales de baja turbidez, como las que provienen de los ríos que alimentan la Planta de Bellavista, Quito. Para el mismo valor de concentración, el sulfato de aluminio provoca un descenso de turbidez del 57,9%, mientras que, para el quitosano, el descenso de turbidez observado es del 19,7%. Así, considerando que la concentración de quitosano utilizada en la fase de coagulación-floculación corresponde a la cuarta parte de aquella utilizada para el caso de sulfato de aluminio, es evidente que, el empleo de quitosano en el tratamiento del agua cruda es beneficioso. Pero el aspecto más importante es que se puede sustituir el producto químico, con sus potenciales secuelas de daño en la salud, por un producto natural, que se obtiene de los residuos de la producción camaronera nacional. Además, se demuestra que la utilización de quitosano, en la clarificación del agua, se puede dar a partir de 100 ppm, con segmentos de disminución de turbidez en concentraciones de hasta 8 ppm. Para sulfato de aluminio se tienen efectos en la turbidez desde 200 ppm, con su mayor efecto en 32 ppm.



















