INTRODUCCIÓN
El suministro de agua por parte del Sistema Papallacta-Bellavista al Centro y Norte de Quito ha alcanzado un promedio anual de 2,4 m3/s, lo cual implica que en cerca de 2 o 3 años más, la ciudad estará utilizando permanentemente toda la capacidad instalada de conducción de agua cruda y potabilización en la Planta de Tratamiento de Bellavista [3; 12]. En estas condiciones se producirán horas y/o días con déficit en el suministro, razón por la cual la EPMAPS, a más de construir nuevas tuberías de conducción y de ampliar la planta de tratamiento, ha previsto gestionar la demanda de agua mediante el uso de un “Sistema de Pronóstico de Demanda de Agua Potable” que permita conocer con anticipación los requerimientos de agua y programar la forma más eficiente de satisfacerlos.
Los pronósticos sobre la demanda de agua que requiere el suministro de agua potable de Quito abarcan el corto, mediano y largo plazos. Así, la operación de las plantas de tratamiento exige pronósticos a nivel horario, diario y semanal [14; 19]; mientras que la operación y manejo de los embalses demanda pronósticos semanales, mensuales, estacionales y anuales [9; 18]. Esta contribución de los modelos predictivos a la operación y gestión es particularmente importante cuando la capacidad de producción de agua está en su punto límite por cuanto al prever con suficiente antelación las demandas (máximas, medias y mínimas), se puede: reducir los fallos en el suministro, programar las entregas de agua por los embalses, optimizar el bombeo y el consumo de energía, planificar la adquisición de químicos y otros insumos, reducir las pérdidas y fugas, evitar riesgos, etc.
Los pronósticos de largo plazo encuentran especial aplicación en la planificación y diseño de las obras ya que la capacidad de los futuros proyectos debe seleccionarse considerando las demandas reales y otras condiciones que se producirán durante su vida útil. La magnitud de los beneficios que tales pronósticos pueden proporcionar puede superar varios millones de dólares al año para el caso de Quito. Esta estimación se sustenta en las mediciones de los últimos años que la EPMAPS realiza cada 15 minutos de los caudales entregados por la Planta de Tratamiento de Bellavista; esas mediciones demuestran que el caudal máximo diario de la demanda supera sólo en el 12%, al caudal medio anual. Este porcentaje es significativamente inferior al 25% que establecen diversas normas de diseño e inclusive el Plan Maestro de Agua Potable de Quito [10; 11; 12; 13; 16; 17]. Si la investigación aquí propuesta, confirma que ese porcentaje del 12% puede aplicarse en el diseño y construcción de las obras de agua potable, ello implicará un ahorro en inversiones de cerca de 4 millones de USD al año en Quito.
Estos beneficios se explican por el hecho de que las obras de captación de agua, conducciones, tuberías, plantas de tratamiento, estaciones de bombeo, equipos y otras instalaciones de agua potable se están diseñando con un coeficiente de mayoración igual al 125%. Reducir ese coeficiente al 112% equivale a reducir aproximadamente en un mismo porcentaje el tamaño y las inversiones anuales de las obras que requiere la ciudad. Es evidente que los beneficios aquí descritos serán mucho mayores si los pronósticos de la demanda de agua potable se aplican en otras ciudades y lugares del país y por lo tanto esta investigación aplicada, pionera en nuestro medio, contribuirá a la gestión eficiente del agua.
Por lo expuesto, la presente propuesta de investigación plantea aplicar a las condiciones de Quito la teoría de los modelos de predicción de demanda máxima de agua potable con horizontes de cortísimo, corto, mediano y largo plazos, para lo cual se aprovecharán las mediciones realizadas por la EPMAPS durante los últimos cuatro años en la Planta de Bellavista.
La investigación aplicada para desarrollar el modelo de pronóstico se apoyará en métodos clásicos (análisis de Fourier, modelos estocásticos) y posiblemente otras propuestas matemáticas (redes neuronales, análisis fuzzy, etc.) para prever la demanda de agua potable en el corto, mediano y largo plazos en Quito. Para la calibración y validación de los modelos se cuenta con cuatro años de mediciones, realizadas cada 15 minutos en Bellavista, la mayor planta de tratamiento de agua potable de Quito, así como mediciones complementarias en otras plantas menores. Se estudiarán y cuantificarán las relaciones de la demanda de agua potable con factores meteorológicos (temperatura del aire, radiación solar, número de días consecutivos secos, etc.) y aspectos sociales, como los patrones de conducta de la población durante las festividades. Los resultados de la investigación contribuirán a optimizar la operación y costos de la producción de agua potable, a la vez que coadyuvarán a elevar la eficacia en la gestión de las aguas urbanas en el País. Particular atención se brindará al estudio de los caudales máximos diarios y su real proporción respecto a los caudales medios anuales, ya que en base a esa proporción se definen importantes dimensiones y, por ende, los costos de conducciones, estaciones de bombeo, plantas de tratamiento, equipos y otras componentes de la infraestructura de agua potable. Esta investigación creará la base para la formación en la Universidad Central de jóvenes investigadores en gestión de los recursos hídricos.
Marco Teórico
El presente proyecto de investigación se enmarca en la aplicación de modelos estocásticos y de inteligencia artificial al pronóstico de la demanda de agua potable que consideran la importancia de los factores que condicionan la demanda, el horizonte del pronóstico requerido, así como la calidad de los datos utilizados en la predicción. La demanda de agua está influenciada por variables que son controlables (restricciones físicas del sistema, precio del agua, etc.) y por factores no controlables (hábitos de la población, desarrollo económico, estado del tiempo, vacaciones, etc.) cuya incidencia es variable en dependencia de cuál sea el horizonte del pronóstico deseado.
La mayoría de los métodos desarrollados para pronosticar la demanda de agua potable requieren datos históricos de la demanda y asumen que ese comportamiento observado se reproducirá en el futuro [1; 2; 4; 7]. Así es como la modelización y pronóstico de series temporales de demanda de agua, desde sus inicios, se apoyó en el análisis de Fourier ya que con su ayuda se pueden identificar los componentes periódicos de la demanda de agua (a nivel estacional, semanal, horario, etc.) y sus resultados permiten identificar los armónicos predominantes. Junto con este análisis es habitual estudiar la correlación que suele existir entre la demanda de agua de un período de tiempo con la demanda de períodos previos [6; 8; 14; 15], así como la correlación con factores externos (temperatura ambiental) y sociales (hábitos de la población en feriados, vacaciones, paros, huelgas, etc.).
Un avance en la elaboración de los pronósticos de demanda de agua potable constituye la utilización de modelos matemáticos de series temporales ARIMA [5; 19] con términos estacionales y no estacionales de órdenes p, q, P y Q, según la metodología de Box y Jenkins. Estos modelos estocásticos pueden ser calibrados y validados con las mediciones de la demanda de agua que se han recopilado durante varios años; su desempeño se evalúa cuantificando los errores y el sesgo de los pronósticos que proporcionan. Se seleccionan aquellos modelos que mejor satisfacen los requerimientos del usuario del pronóstico, en función del horizonte predicción y de la disponibilidad oportuna de mediciones sobre las variables exógenas (pronósticos de temperatura, etc.) que considera el modelo. Para mejorar la predictividad de estos modelos se ha planteado la posibilidad de formularlos para cada época o estación del año, así como combinarlos con modelos basados en redes neuronales, ya que ellas permiten considerar la no linealidad de las series temporales [1; 2; 9].
En complemento a lo indicado cabe agregar que en la elaboración de pronósticos de demanda últimamente se están aplicando modelos basados en la teoría de la lógica difusa, los algoritmos genéticos, el razonamiento inductivo fuzzy, sistemas expertos, etc. que permiten superar limitaciones tales como la incertidumbre o insuficiencia de la información disponible a la vez que abren la posibilidad de incluir el criterio de expertos.
Preguntas de Investigación
Los planteamientos y lineamientos fundamentales de esta investigación aplicada pueden resumirse en las siguientes preguntas:
¿Cuáles son las variables endógenas y exógenas (climáticas, sociales, etc.) que explican las fluctuaciones y el desarrollo de la demanda de agua potable en Quito a cortísimo, corto, mediano y largo plazos?
¿Cuáles son los modelos estocásticos o de otro tipo que proporcionan los mejores pronósticos a cortísimo, corto, mediano y largo plazos de la demanda real de agua potable en Quito?
¿Cuál es la calidad de los pronósticos proporcionados por los modelos de pronósticos de demanda real de agua potable en Quito?
¿Cuál es el coeficiente de mayoración que se recomienda utilizar en la determinación del caudal máximo diario de agua potable que se utiliza en los diseños de la EPMAPS?
¿Qué mediciones adicionales deben realizarse en Quito para mejorar los pronósticos de demanda de agua potable a cortísimo, corto, mediano y largo plazos?
¿Qué otras recomendaciones serían factibles formularlas basándonos en el modelo obtenido?
Justificación
La revisión bibliográfica de los métodos que se han venido desarrollando para pronosticar la demanda de agua potable sustenta la hipótesis de que esa demanda en Quito depende de variables endógenas (inercia de la demanda o su autocorrelación) y exógenas (meteorológicas, sociales, económicas, urbanísticas).
Estas variables en nuestro medio físico geográfico tendrán una importancia y composición diferentes ya que en nuestro clima ecuatorial de montaña no existen las fuertes variaciones mensuales de temperatura ambiental que se observan en otras latitudes (en contraposición a ello, aquí tenemos una gran amplitud en la variación de la temperatura en el transcurso del día) y por ello será necesario investigar cuáles son las variables meteorológicas que deben utilizarse en nuestros modelos de pronóstico.
La identificación de cuáles son los factores endógenos y exógenos que resultan válidos para pronosticar la demanda en nuestro medio Ecuatorial constituye ya un aporte al acervo científico en modelación matemática y en gestión de los recursos hídricos. Mayor será la contribución al conocimiento el momento en que la investigación demuestre la bondad de utilizar modelos diferenciados para las diversas épocas del año, así como las posibilidades que surgen al aplicar la teoría de la lógica difusa.
METODOLOGÍA Y EXPERIMENTO NUMÉRICO
a) En el Diseño de Estudio interviene la recopilación de los datos y su depuración o verificación de su calidad, para luego pasar al análisis estadístico preliminar (estadística descriptiva).
En este paso ordenamos cronológicamente los datos, verificamos su calidad con un Test estadístico, calculamos algunos estadísticos (medias, moda, mediana, desviación estándar, otros), analizamos el histograma y la ojiva, y también postulamos alguna hipótesis para la distribución estadística de los 2557 datos (tabla 1):
Donde el primer dato de la columna corresponde al 1 de enero 2007 y el último al 31 de diciembre 2013, siendo un total de 2557 datos encolumnados cronológicamente. Todos los datos corresponden a los caudales de agua por día, ya corregidos y medidos en litros / segundo.
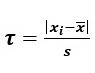
Para la corrección de los datos con la consecuente eliminación de los datos anómalos utilizamos el estadístico
, donde Xi es el valor de cada dato, x̄ es la media de todos los datos y s es su desviación estándar (Fig. 1, tablas 2, 3, 4).
m es el número de parámetros a estimarse (media y desviación típica).
v=k-1-m son los grados de libertad = (n° de clases – 1 – n° de parámetros = 4).
Al cumplirse la relación
para los datos observados del vector original X1, se rechaza la hipótesis de que los datos sigan una distribución normal.
Con el Criterio de Kolmogorov-Smirnov tenemos (tabla 5).
Como se cumple la relación
se rechaza la hipótesis de que los datos del vector original observado X1 sigan una distribución normal.
Gráfica del vector de datos originales (Fig. 2):
El suavizamiento de los datos comprende el proceso de eliminación de los picos o de las oscilaciones existentes de un día a otro. Este proceso numérico elimina las grandes variaciones existentes entre los distintos valores diarios vecinos. Un proceso de suavizamiento puede realizarse mediante el uso de splines, otros procesos, o mediante un proceso de media móvil de longitud w, por ejemplo w = 50, es decir, generamos la nueva serie temporal o vector X, cuya primera componente es el promedio de los primeros 50 valores (x1,1, …, x1,50) del vector original X1, la segunda componente de X es el promedio de los 50 valores (x1,2, …, x1,51) del vector original X1, la tercera componente de X es el promedio de los 50 valores (x1,3, …, x1,52) del vector original X1, y así sucesivamente hasta llegar al dato número 2557 del vector original X1. El nuevo vector X es (tabla 6):
La gráfica del vector suavizado X es (Fig. 3):
El modelo de ajuste del vector X y de sus datos se basa en el modelo aditivo:
Donde: T* (t) es la tendencia general de los datos X, P*(t) es la componente periódica y E*(t) es la componente aleatoria o ruido.
Utilizando el método de mínimos cuadrados, y suponiendo (acorde a la gráfica o comportamiento general de X) que los datos del vector X poseen una tendencia general lineal del tipo H(t) = at+b obtenemos H(t)= 0.179t + 2002.
De la ecuación lineal de la tendencia H vemos que la pendiente de la recta tiene un valor a= 0.179 lo que nos dice que la demanda del caudal de agua potable es creciente con el tiempo.
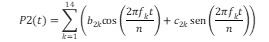
El polinomio trigonométrico o componente periódico P(t) tiene la forma
donde los coeficientes bk y ck son incógnitas a ser buscadas, n= 2557, fk son las frecuencias buscadas, es el número de polinomios trigonométricos necesarios que permitirán en forma iterativa obtener una aproximación óptima o final. El proceso de búsqueda de los polinomios P(t) y de sus coeficientes está estrechamente enlazado con el método de los mínimos cuadrados y con la transformada de Fourier (búsqueda de las frecuencias y periodos).
La aproximación mediante los polinomios trigonométricos se la hace inicialmente partiendo de la serie estacionalizada (para nuestro caso eliminando la tendencia H del vector X), es decir, de nueva serie estacionalizada toma la forma Y(t)=X(t) - H(t).
En este caso, la gráfica de Y (t) tendrá la forma (Fig. 4).
La misma que muestra claramente ya estar estacionalizada (sin tendencia).
Aplicamos la transformada rápida y discreta de Fourier para los números complejos x0, ...., xN-1, siendo la transformada discreta de Fourier (DFT, por sus siglas en inglés) la expresión definida como
La evaluación directa de esa fórmula requiere O(n²) operaciones aritméticas. Mediante un algoritmo FFT se puede obtener el mismo resultado con sólo O(n log n) operaciones. Dado que la transformada discreta de Fourier inversa es análoga a la transformada discreta de Fourier, con distinto signo en el exponente y un factor 1/n, cualquier algoritmo FFT puede ser fácilmente adaptado para el cálculo de la transformada inversa. Por lo general, tenemos que:
Calculamos la Transformada de Fourier y el módulo del vector Y (t) = X(t)- H(t) que representamos mediante C=cf ft(Y) y |cf ft(Y)| respectivamente, dándonos el así denominado esquema de frecuencias (o periodograma)(Fig. 5):
De la gráfica anterior se obtienen las primeras frecuencias fundamentales: fk = 2, 4, 8, 9, 11, 14, 16, 20, 22, 25, 27, 31, las mismas que permiten armar el vector P(t) de 24 componentes o 12 armónicas
, donde los coeficientes bk y ck son las incógnitas a ser buscadas con el método de mínimos cuadrados, siendo t toma los valores 0,1,2, …, 2556. Al aplicar el método de los mínimos cuadrados obtenemos los 12 + 12 = 24 coeficientes bk y ck (Tabla 7).
Reemplazando todos los datos anteriores, obtenemos la forma explícita del polinomio trigonométrico
El primer ajuste lo representaremos en la forma
El primer coeficiente de determinación viene dado por
R21=0.877
La gráfica comparativa entre el vector original X y el del primer ajuste Xajust, tiene la forma (Fig. 6)
Procediendo de la misma manera y en forma iterativa con 4 Transformadas de Fourier, hasta obtener coeficientes bk y ck lo suficientemente pequeños (del orden ε=10-4, es decir, coeficientes despreciables en el modelo de regresión multilineal, y paralelamente un coeficiente de determinación lo suficientemente cercano a 1, por ejemplo, si es posible, superior al 90%, obtenemos la función de ajuste predictiva definitiva (Fig. 7):
donde la Transformada de Fourier es
, las frecuencias fundamentales fk son 1, 3, 5, 10, 12, 15, 17, 21, 23, 24, 28, 32, 34, 38, 41, para los 15 + 15 = 30 coeficientes b1k y c1k, k=1,2,⋯,15; n=2557 siendo los valores de los coeficientes (tabla 8).
El respectivo coeficiente de determinación es R22=0.916 y la gráfica comparativa del ajuste es la figura 8:
Donde la Transformada de Fourier es , las frecuencias fundamentales fk son 3, 5, 10, 12, 15, 16, 18, 21, 24, 28, 32, 34, 38, 41, para los 14 + 14 = 28 coeficientes b2k y c2k, k=1,2,⋯,14; n=2557 siendo los valores de los coeficientes tabla 9.
El respectivo coeficiente de determinación es R22=0.918. La gráfica 9 comparativa del ajuste tiene la forma
donde la Transformada de Fourier es , las frecuencias fundamentales fk son 3, 5, 10, 12, 15, 16, 21, 24, 28, 32, 34, 36, 38, 41, 44, 46, para los 16 + 16 = 32 coeficientes b3k y c3k, k=1,2,⋯,16; n=2557 siendo los valores de los coeficientes tabla 10.
El respectivo coeficiente de determinación prácticamente permanece en R23=0.918 y la gráfica 10 comparativa del ajuste tiene la forma
El modelo aditivo definitivo para la función de ajuste o predictiva tiene la forma Xpredj=g(tj )+P(tj )+P1(tj )+P2(tj )+P3(tj ),
donde cada componente o sumando ya se especificó anteriormente. El coeficiente de determinación entre los vectores X y Xpred es de R2=0.918 lo que nos da cierta medida sobre la exactitud del ajuste de los datos X.
RESULTADOS
Modelo aditivo de análisis de una serie temporal X basado en la aplicación de la Transformada de Fourier para determinar periodicidades o frecuencias escondidas en el fenómeno y en la aplicación del método de mínimos cuadrados MMC.
Metodología constructivista aplicable a problemas de determinación de caudales o de oferta - demanda de agua a nivel urbano o de otro tipo.
Función explícita de ajuste o predictiva y la gráfica comparativa del vector original X versus el vector de ajuste o de predicción Xpred: Xpredj=g(tj )+P(tj )+P1(tj )+P2(tj )+P3(tj ), figura 11.
Valores de pronóstico del caudal de agua potable para el año 2014 (tabla 11):
CONCLUSIONES
Ahorros económicos en las inversiones y costos de operación del servicio de agua potable de Quito y otras ciudades del País donde se apliquen el sistema de pronóstico de demanda que entregará la presente investigación.
La función de pronóstico o predictiva del caudal de agua potable para Quito viene dada en forma explícita lo que permite hacer cálculos de caudales a futuro inmediato o cercano.
La función predictiva Xpred obtenida para el caudal de Quito puede ser precisada y mejorada en forma dinámica con la incorporación de los datos de los años 2014 – 2016. Los pronósticos irán desde el año 2017 en adelante y el Modelo obtenido será confrontado o comparado con modelos estocásticos u otros para tener la posibilidad de hacer un análisis comparativo de modelos y mirar que tan bueno es el presente modelo (Segunda etapa de la investigación).
Obtención de un modelo y metodología de pronóstico del caudal de agua potable aplicable a otras ciudades.
El coeficiente de determinación R2=R2=0.918 final, obtenido entre el vector de datos originales X y el vector correspondiente a la función de pronóstico o predictiva Xpred nos indica que esta función de ajuste justifica la información original en el orden del 91.8%.
Con ayuda de la función de ajuste o predictiva Xpred obtenida para el caudal se puede determinar los valores promedio o cargas por horas específicas, por días de la semana, por semanas o por meses durante cualquier intervalo de tiempo entre los años 2007 - 2016 (Segunda etapa de la investigación).
Los errores relativos entre los datos originales X y los ajustados Xpred se encuentran en un rango que va desde un mínimo de -120 l/s a un máximo de 150 l/s.
Eficiencia en la gestión del agua urbana y la mitigación de riesgos y conflictos vinculados con el agua.
Bienestar ciudadano.
Reducción de conflictos por el uso del agua.
Con ayuda de los coeficientes obtenidos en el modelo de regresión multilineal de la función de pronóstico, es factible realizar capacitaciones para el personal de la EPMAPS en el manejo de la función predictiva del caudal de agua potable, por ejemplo, utilizando Excel.









































