(1. INTRODUCTION
Mechatronics engineering, a fusion of disciplines, is dedicated to developing systems that automate machinery, innovate intelligent products, and seamlessly integrate mechanical and electronic components. Its primary objective is to revolutionize processes through pioneering technological approaches. This philosophy is reflected in the development and execution of solutions that not only refine industrial processes but also enhance the overall quality of life. The fusion of mechanics and electronics aims to increase efficiency, reliability, and alignment with human needs across various industries ().
Specialized in automating processes across various industrial sectors, this engineering branch has a track record of continuous improvement in productivity and production optimization through the integration of technology into machinery. Currently, this expertise focuses on addressing a specific challenge identified during a recent technical visit to a company. The goal is total to optimize the bottle packaging process to tackle this challenge. The implementation of a scaled prototype seeks to validate the feasibility of the automated bottle sleeving process, especially relevant for companies like PLASTIMAC (), facing challenges due to manual approaches, with associated risks of human error (; ).
The main objective is to design a semi-automatic bottle sleeving machine prototype with a base plate and a functional human-machine interface (HMI) system using the HTTP protocol, aimed at optimizing the bottle sleeving process at Plastimac company. This process, currently manual, consumes significant time and resources. The semi-automated solution will streamline the reception, classification, and efficient sleeving of bottles. The proposal involves designing a semi-automatic packaging system operated through a graphical interface and a base plate, with specific objectives to design the necessary structure and mechanisms for bottles up to 17 cm, generate a functional HMI using the HTTP protocol, and collect, store, and analyze historical data to understand the prototype’s performance.
The effective implementation of this prototype will generate discussions about process improvement, resource reduction, increased accuracy in bottle counting and sleeving, and facilitate monitoring and analysis of historical data (). This solution would represent a significant benefit for small and medium-sized enterprises, aiming to improve their packaging processes, increase efficiency, and reduce operating costs ().
Previous studies have identified specific needs and concerns in this field. For instance, the research conducted at Higher Polytechnic School of the Litoral () has highlighted the potential relevance of developing such machines to meet the growing demand from companies in Ecuador.
This approach could effectively reduce dependence on machinery imported from more developed nations, thus preserving the local currency. Similarly, a study developed in Colombia has demonstrated significant time-saving benefits associated with this type of machinery. Consequently, it is believed that incorporating this machinery into production processes will significantly improve efficiency, especially for small and large-scale enterprises currently performing these procedures manually ().
, in their work, focuses on developing an automatic bottle packaging line through modelling and simulation with Arena Simulation. The goal is to analyze and plan the liquid process, implement control with sensors, and demonstrate the functionality of the line. Interconnected modules are used to represent the necessary machines and units, with sensors for monitoring and optimization. Results are collected to analyze performance and efficiency at the end of the line.
On the other hand, present the design of a glass bottle sorting machine using Arduino. It concentrates on automatically sorting soda bottles by brand, based on height and color. Sorting is done using proximity sensors and color sensors on the conveyor belt. A rotating actuator with an arm unloads the bottles for processing, while an LCD screen records the total number of sorted bottles. This automated prototype saves time and money.
deals with the design of a control system for packaging machines in the consumer goods industry. It uses a PLC system that improves machinery automation and efficiency, increasing production capacity and ensuring stability. The human-machine interface incorporates touchscreen technology for more intuitive interaction, enhancing packaging process performance and efficiency.
Similarly, explores the use of Programmable Logic Controllers (PLC) in the industry, highlighting the implementation of a human-machine interface (HMI) for real-time control of industrial processes. An Out-seal PLC and an Android-based HMI with Modbus communication are used. The system efficiently controls the filling and sealing of containers using sensors, with a 95.2 % accuracy in packaging, according to tests conducted.
In work, a sales tracking system for vending machines is presented with IoT (Internet of Things), using the Wi-Fi NodeMcu ESP32 micro-controller. It enables remote monitoring of sales and beverage inventory through a web application on Google Sheets. The ESP32 offers efficient connectivity, facilitating detailed reports to optimize operations and maximize revenue. The integration of IoT and Google Sheets improves efficiency and profitability by providing data for informed decision-making.
develop a semi-autonomous system for counting plastic cartons manufactured by a packaging company in Colombia. It uses the Wi-Fi NodeMcu ESP32 micro-controller, overcoming limitations of previous computer vision solutions and achieving a 96 % accuracy. The proposed solution improves efficiency and reduces costs compared to currently used manual methods.
Considering these works, it is evident that a prototype like the one presented in this article has not been developed, or at least not in that specific part of the process. Therefore, it is seen as an innovative and viable option to apply knowledge in the field, aiming to optimize a process and meet the needs of small businesses while reducing human errors. It is important to note that symptoms such as inefficient resource utilization, the need for constant supervision, and potential human errors are fundamental causes involving the underutilization of automation and the lack of integrated detection and control systems ().
It is also essential to mention that there is a wide range of bottle packaging machine models available, representing a significant advancement in the packaging process. These specialized systems have transformed the industry by offering efficient and precise solutions for packaging products. Some of the commercial models include:
presents the Semi-Automatic Bottle Sleeving Machine HG, a semi-automatic system weighing 550 kg and capable of packaging up to 100 bottles per minute. offers the LSN-BS180, an automatic machine for packaging PET bottles at approximately 130 bottles per minute, weighing nearly half a ton. catalog features models like BMS06-A1000 and BMS12-A1000, each with a capacity of 40 bottles per minute and an approximate weight of 350 kg. Autobagger handles up to 75 bottles per minute with a weight of approximately 450 tons. presents the Automatic Bottle Sleeving Machine - Model 3710, that has a maximum capacity of 130 bottles per minute and weighs around 1,300 kg. offers the BPM-3000, capable of packaging approximately 50 bottles per minute, with dimensions of 3.9 x 4.3 x 1 m and a maximum weight of 305 kg.
In summary, this mechatronics engineering project proposes a semi-automatic sleeving prototype to improve efficiency and reduce errors associated with the manual bottle packaging process. The aim is not only to optimize processes and reduce operating costs but also to provide a valuable solution for businesses, especially those of small and medium scale.
2. METHODOLOGY
The prototype bottle packaging machine combines mechanical, electronic, and computer components. It handles the entire bottling process, from arrival to packaging, with precision and automation. It can process up to 16 bottles per minute, maintaining high accuracy in counting and packaging. The system integrates hardware and software for seamless operation.
2.2 Mechanical dimension
The prototype design for a bottle packaging machine includes key aspects like bottle height adjustment mechanism, output tray, and material selection. Analyzing component alternatives and calculations were conducted to select the right components for the prototype, as shown in Table 1.
Prototype Structure and Mechanism Sizing
The central structure consists of modular aluminum 6065 T5 profiles with dimensions of 40x20 (mm) and a length of 750 (mm). A 1 mm thick steel base is used as a separator to ensure adequate spacing between the profiles and allow the belt to remain horizontal. These modular elements enable a seamless integration of fundamental components (; ; ).
The structure anchored to the base, designed to support bottles of various heights, it is also made of aluminum profiles with the same specifications mentioned earlier. This structure connects to the central core, integrating all parts of the prototype coherently. For the manufacturing of the lifting mechanism components, 3D printing technology is used with PETG, an amorphous thermoplastic copolymer that combines the properties of polyethylene terephthalate (PET) and glycol. It is a very resistant material with good thermal resistance (), and is used as a commercial screw. This choice ensures precision and adaptability of each part to the specific needs of the system (; ).
The conveyor belt is the preferred choice for this type of work due to their ease of maintenance and affordability (; ). Therefore, the most suitable configuration for the prototype belt is the conveyor belt.
To achieve effective transport, the required speed was calculated, resulting in a tangential speed of 0.026 m/s for a working length of 0.78 m in 30 s. Loads were carefully considered according to technical specifications, including the linear load per meter of the transported load (q1) and the mass per linear meter of the belt (q2). To determine q1 (Linear load per meter of belt) Equation 1 is used.
[m]: Mass of the object to be transported (kg)
[L]: Useful length of the belt (m)
And to determine q2 Equation 2 is used, which is the mass per linear meter of the belt.
[mb]: Mass of the belt per square meter (kg/m2)
[B]: Belt length (m)
This is useful for conducting an analysis of both the upper and lower branches of the belt; it should also be noted that it was determined that PVC is the most suitable material for the belt, and the tensions it would experience were calculated (; ).
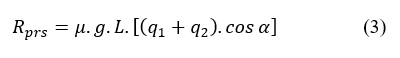
To determine the reactions in the upper and lower branches Equation 3 is used (), it needs the main resistance in the upper branch that is given by (sum of rolling resistance and friction coefficient):
[Rprs]: Resistance in the upper branch. (N)
[µ]: A common friction factor (No unit)
[g]: Acceleration due to gravity 9.81 (m/s2)
[L]: Represents a length or distance parameter (m).
[(q1 + q2)]: The sum of two quantities, q1 and q2 (kg/m)
[α]: An angle parameter of the belt output by the roller (degrees)
And the main resistance in the lower branch is given by Equation 4 ():
[RprI]: Resistance in the lower branch (N)
[µ]: Coefficient representing friction effects (No unit)
[g]: Acceleration due to gravity 9.81 (m/s2)
[L]: Length or distance parameter in the system (m)
[q2]: Mass per linear meter of the belt (kg/m)
[α]: Angle parameter, and cos α is the cosine of this angle (degrees)
Through analysis of the free body diagram, it was determined by using Equation 5 summary of forces in x that the circumferential force (FC) is equal to:
And, after the analysis:
With the circumferential force (FC), it is possible to determine the tension values using a relationship (Equation 6) to find the tensions in the bearings:
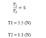
In this case, α is set to 180°, and µ=0.5 is selected as a common value for the friction coefficient in PVC belts (). Using this relationship, one can refer to a friction graph on pulleys () to determine the tension ratio on the bearings.
The obtained values are:
Knowing the tensions in the bearings, it is possible to proceed with the selection of the motor and the appropriate bearings for the prototype. The assessment of the radial load on the bearings was essential for selecting the "6001" bearing (), meeting the load criteria (basic dynamic load rating of 5 kN and a mass of 0.021 kg, and aligning with market availability and suitable dimensions for the prototype. To choose an appropriate motor for the belt, it is essential to determine the required torque for the application using the Equation 7 ().
[Frad]: is the radial load (N).
[r]: is the radius of the cylinder that moves the belt (cm).
The calculations revealed a required torque of 8,412 (N.cm) for the operation of the belt, leading to the selection of a motor with a gearbox providing a maximum of 25 kg.cm of torque.
This choice significantly surpasses and remains well above the calculated value. The selection aligns with both technical specifications and calculations to ensure optimal prototype performance. Additionally, it was the readily available motor in the market.
The mechanism of power screw needs a detailed evaluation of the compressive, shear and buckling stresses in the auger of the bottle positioning mechanism to source any component from the market, this warrants the selection of a component. To arrive at the values presented in Table 2, the following calculations were used:
Compression Stress: The calculation of the compression of the screws plays a fundamental role in assessing the risk of system failure (Equation 8) ().
[σ]: Compression stress (MPa)
[W]: Load or force that compresses the bar (N)
(A): Cross-sectional area (No unit)
Shear Stress: This analysis is based on the application of an axial force to connect various components, resulting in a uniform distribution of stress along the cross-sectional area of the screw (Equation 9) ().
Developing the Equation 9 gives Equation 10:
[τ]: Shear stress (MPa)
[W]: Load or force that compresses the bar (N)
[π]: Constant for the circumference of the screw
[η]: Number of threads per unit length (mm)
[rm]: Radius of the screw (mm)
[b]: Thread width of the power screw (mm)
Buckling Analysis: This analysis allows us to determine if the length of the screw is sufficient to withstand the possible buckling stresses (Equation 11). In this context, buckling refers to the lateral deflection of an elongated member subjected to an axial load.
[Pcr]: Critical buckling load (N)
[π]: Mathematical constant pi
[E]: Modulus of elasticity (GPa)
[I]: Moment of inertia (mm4)
[L]: Effective length of the power screw (mm)
[K]: Effective length factor
The progressive buckling modes for a straight column () ensure the integrity and durability of the system, for this case Pcr= 2899 N with a safety Factor of 159,89.
Using the allowable deformation method, the safety factor for compression and stress were obtained. This method focuses on ensuring that deformations under load remain within acceptable limits to avoid functional failures. The safety factors are considerably high, it is important to highlight that the choice of this specific accessory is based on its availability in the market and its consideration as a viable option for integration into the prototype. This approach fully justifies the decision to incorporate it into the machine, as it meets the necessary standards and provides a practical and efficient solution for the design.
This section concludes by determining the torque required to move the worm screw, which aids in selecting a suitable motor. This can be achieved through a force summation, considering both the force required to overcome the load and the friction between the screw and the nut. The force needed to overcome the desired load is given by the Equation 12:
On the other hand, the Equation 13 determines the frictional
Resistance.
[F]: Force needed (N)
[Fr]: Friction force (N)
[µ]: Coefficient of friction (No units)
[W]: Total load (N)
[θ]: Angle of inclination of the screw threads (degrees)
This determines the force required to move the worm screw by Equation 14.
Once the total force to move the worm screw is obtained by Equation 15.
[T]: Torque (Nmm)
[Ftotal]: Total force (N)
[d]: Sum of the inner radius of the power screw and half the tooth distance (mm)
Using these equations, it determined that the required torque to move the worm screw for a load of 18.15 N (specified by technical specifications) is 2.74 N.cm. With this value, a suitable motor was selected for the prototype.
Considering common motors available in the market for driving power screws, a prudent choice is a NEMA 17 motor capable of producing 3.5 kgf.cm. This selection not only mitigates the risk of overloading but also facilitates easy maintenance due to its widespread availability (Figure 1).
2.3 Electronic and control design
The selection of each electronic component in this project is based on a thorough evaluation of its suitability for the case, ensuring that it meets the standards set by the company. This ranges from the control of the motor to the execution of the programs necessary for the operation of the bottle packaging prototype.
This project aims to establish direct communication between the prototype and a Human User Interface (HMI) on the computer. Therefore, it has been chosen to use an ESP32 main processor, selected for its remarkable real-time processing capabilities. The ESP32 has the necessary power and versatility to meet the specific requirements of the project, allowing the actuators to perform their functions through the HTTP protocol managed by the ESP32.
The micro-controller has been chosen to assist with communication and control the prototype, and it also has drivers to control various actuators, as well as other electronic components such as resistors, capacitors, and inductors that collectively contribute to the functionality of the prototype.
To send the PWM signal, use a dual H-bridge, employing the
L298N dual motor driver for this purpose. This driver can supply up to 2 A of current for each of its motor channels, perfectly meeting the requirements of the 12 V, 1.3 A, 10 rpm DC motor. Additionally, for controlling the stepper motors responsible for the climbing mechanism, the A4988 driver is used. This driver allows to supply up to 2 A to the Nema 17 motors, although they typically consume 1.8 A.
A relay will be used to enable the ESP32 to control the solenoid valve. This valve regulates the airflow directed towards the pneumatic actuator, activating the pneumatic clamp. When the micro-controller activates the relay, providing a 110 (VAC) signal, compressed air is allowed to flow into the pneumatic actuator, extending it and pushing the row of bottles toward the exit tray.
The prototype system needs to be adequately powered to perform its function. Therefore, determining the power source of the project requires consideration of the key components and their power consumption during operation. For instance, motors operate at a 12 (VDC) supply voltage, allowing them to function by closing a circuit. On the other hand, components like ESP32, controllers, photoelectric sensor, and drivers operate at 5 (VDC). To regulate the voltage effectively, use the XL4015 module, which not only steps down the voltage to 5 (VDC) but also delivers a substantial 5 A output current.
Choosing the appropriate power supply requires a thorough analysis of the current requirements of each component. After completing this analysis, it is determined that a 5.8 A power supply is required for all electronic components, such as controllers and actuators.
Given that most components require a 5 (VDC) source, a step-down converter XL4015 is used to convert from 12 (VDC) to 5 (VDC) and power the drivers, sensors, and the ESP32. The employed photoelectric sensor is the E18-D80NK model, which plays an important role in the bottle sheathing prototype by providing a precise and efficient detection of empty bottles. Using optical detection technology, these sensors are instrumental in tracking empty bottles, swiftly and reliably determining their presence. This capability ensures an accurate count of empty bottles during the sheathing process, optimizing efficiency and enabling the generation of a detailed production history.
The implementation of the final limit switch sensor, such as the model designed for 3D printers (Ender 3/5/CR 10/20 X Pro), facilitates the precise calibration of the rail height of the prototype. This calibration prevents bottle positioning issues that could interrupt the sheathing process. Sensor ensures consistent maintenance of the rail at the optimal height, contributing to the uniformity and quality of the bottle sheathing process. Furthermore, the integration of automatic bottle type selection would streamline the process and simplify calibration.
In Figure 2, the diagram of both tangible and intangible connections of the prototype is presented. This aims to showcase the communication among the various components of the prototype. Additionally, it illustrates the operation of the wireless communication protocol, highlighting the communication between the client (the computer) and the server (the prototype), where the client receives information from the server 2.
Regarding the control part, a PID control was chosen for the conveyor belt motor. Since a DC motor with an encoder connected to a micro-controller is used for the conveyor belt, it is feasible to implement PID control for the belt speed. The choice of the ESP32 micro-controller allows for proper integration of the controller as it does not require significant processing power for the given application. Using an encoder makes sure that the speed is measured correctly. It also gives important feedback for PID control and makes sure that the conveyor belt moves precisely and consistently through a closed-loop feedback system.
To generate PID control for the motor, data collection is required, involving the adjustment of PWM values to modulate the motor speed within the specified range outlined in the motor’s data sheet. This dataset contains substantial information for determining the transfer function of the motor, a fundamental aspect in the design of the controller. Data acquisition was done using an Arduino board to extract data for later analysis in MATLAB. After acquiring motor data, Figure 3 presents MATLAB’s ’ident’ tool was used for processing, aiming to obtain a transfer function or plant.
Using the software tool, the resulting transfer function (Equation 16), derived through ’ident’ toolbox, showed the best fit with one pole and zero zeros, with an approximation of 93.39 %, making it the best among all obtained during tests with the mentioned characteristics ().
Simulink and the PID Tuner tool were employed to obtain the PID for the system, a "Step” block was configured to send a limited pulse to the available source voltage. Immediately after, the controller block and a saturation block were added to assess the behavior of the control action.
Then, the block corresponding to the plant was added, thus closing the system loop. Through this process, the controller constants were determined, and their performance was evaluated. The resulting fit’s behavior is depicted in Figure 3. Also is important to mention that Simulink program was essential for obtaining the PID.
Figure 4 present the tuned response of the system starting by requesting the highest voltage and then stabilizing, along with the behavior of the plant with the controller. The constants that led to this result are detailed in Table 3, which includes the Kp=proportional, Kd=derivative, and Ki=integral constants, as well as N (seconds), corresponding to a used filter. Upon analyzing the graph, the obtained values exhibit a 7.5 % overshoot through this method.
Figure 4. Plant behavior.
2.4 Programming and HMI development.
The communication between the application and the prototype is established through the HTTP protocol (), facilitating the transfer of data between the device and the prototype through requests and responses, following a client- server structure. This protocol enables efficient and bidirectional interaction between the application and the prototype, allowing the necessary exchange of data for the proper functioning of the system.
Important elements in this context include Flet, a Python framework, and a REST API. Flet simplifies the process of developing cross-platform applications with a single code base (). On the other hand, the REST API, adhering to REST architectural principles, ensures a clear separation between the client and the server, prioritizing simplicity, interoperability, flexibility, and scalability (Ahmad, 2021).
To ensure an optimal development experience, the decision has been made to use a single language throughout the entire development cycle. Micro-Python was chosen for its ability to facilitate swift creation, leveraging the Microdot framework for building the REST API. Additionally, the Flet framework is employed, allowing the use of the Python language for cross-platform application development, with Flutter as the underlying technology ().
This technology stack has enabled the development of an application that supports multiple platforms on the client side and establishes a scalable structure on the server side, all achieved through a unified language. This approach reduces the learning time required for syntax and low-level functionality across various technologies, while also enhancing the efficiency of connecting visual components with the necessary controllers in the prototype.
Regarding the algorithms, they are organized into specific sources, including the HMI source and the ESP32 source, communicating through the HTTP protocol. Within the ESP32 source, there is a central program (main.py) and a library source housing algorithms for the control of the controller and the sensors. This structuring not only improves precision but also facilitates code refactoring and establishes a solid foundation for scalability and future system enhancements.
Concerning the application to control the prototype bottle packer, it operates as an API with a user interface. This interface spans multiple screens, such as the start screen, displaying the status of the packaging process and providing buttons to navigate to other screens, like the configuration and statistics screens.
The configuration screen, designed to assist the user in parameter adjustment, includes cards to adjust the conveyor belt speed and determine the bottle height. A fundamental card stands out, allowing the creation of a new bottle profile with predefined parameters. The statistics screen provides real-time updates on the packaging process, showing progress and allowing process management. Here, the user can set the start date and order number to initiate the process, as well as obtain detailed information about the specified order.
The programming and control algorithms, represented in flow- charts (Figure 2), guide the bottle-casing prototype. Initially in a waiting position, it receives instructions from the user through the application to set the batch of bottles, adjust the height of the motor, and configure the speed. These settings, established through the application, allow the prototype to adjust the height as needed and initiate the packaging process.
3. DISCUSSION AND RESULTS
As already mentioned, a test was conducted by positioning the sensor to measure the optimal amount of light, in order to determine the optimal conditions for the photoelectric sensor. This method made it possible to identify bottles precisely; the outcomes are shown in Figure 4. The sensor used for these tests is from the company IC-OPTICS, a supplier associated with SAMSUNG, specifically the model STK33910-245S which provided the illumination data in the sensor area ().
The 32 lux illumination achieved satisfactory detection during all 10 operational tests. The condition of 32 lux represents the optimal light threshold for detecting two changes, namely, the entry and exit of a bottle. To successfully complete the 10 tests, it was necessary to detect 4 bottles in each repetition.
The effectiveness of the stepper motor control design is evaluated for positioning the bottle receiver at various heights. The system is securely gripped the neck of the bottles, allowing them to enter smoothly and serving as a guide without causing any issues. Excessively high positioning could impede the flow of bottles, while too low a position risked causing jams in the conveyor belt.
To conduct these tests, the system was adjusted for different bottle heights, performing an initial adjustment (home) before each process. A total of ten tests were conducted, randomly selecting three different bottle heights.
As illustrated in Figure 5, the results demonstrate that the positioning of the mechanism performance is appropriate when configured for various bottle heights. This achievement highlights the robustness and versatility of the system in efficiently handling different bottle sizes.
As shown in Figure 6, after conducting ten detection tests with groups of four bottles, an average of four bottles per minute was achieved. This result falls within the expected standards, as calculations based on technical specifications anticipated the passage of one bottle per minute on the conveyor belt within the specified time.
When considering bottles with different distances between them and the photoelectric sensor (2 cm) detection threshold, this achievement was still possible. This finding underscores the efficiency and performance capacity of the machine under diverse conditions.
The design and implementation of the bottle packaging machine presented in this article (Figure 7) offers a compelling solution to streamline the packaging process in industrial settings. When comparing this innovative machine with commercially available models, it becomes evident that the proposed design aligns with the industry trend towards automation, error reduction, and enhanced efficiency.
Commercial models such as the Full Automatic 10 ml - 20 L
Empty Plastic Bottle Packing Machine (),
and the BPM-3000 by PET Technologies (), showcase advancements in packaging technology, offering a variety of specialized systems for efficient and precise packaging. However, the machine proposed in this article stands out due to its focus on addressing the specific challenges faced by small and medium-scale enterprises, emphasis on reducing human errors and improving efficiency resonates with the broader industry need for reliable and cost-effective packaging solutions.
Cost is a critical factor in the adoption of packaging machinery, especially for small and medium-sized enterprises. The proposed machine, with an estimated cost of 4,035.00 USD, presents an attractive option for businesses seeking to enhance their packaging processes without incurring exorbitant expenses (). In contrast, some commercially available models may come with higher price tags, potentially posing financial barriers for smaller enterprises. Therefore, the affordability of the proposed machine positions it as a viable and cost-effective solution for businesses aiming to optimize their packaging operations while managing operational costs ().
Once this prototype becomes operational, discussions on process enhancement begins. The company can optimize resource use, enhance the precision of bottle counting and sleeving, and facilitate the monitoring and analysis of historical data (). This solution would provide a substantial advantage for small and medium-sized firms, with the goal of enhancing their packaging procedures, boosting productivity, and minimizing operational expenses ().
According to studies presented by ); ); ), the prototype produced by the company provides solutions for medium and small businesses. It is worth noting that most commercially available versions have a capacity ranging from a minimum of 40 bottles per minute to a maximum of 130 bottles per minute. The prices of these machines vary from $8,000.00 to $20,000.00 USD, excluding importation and shipping costs. However, the prototype currently being showcased is priced at $4,035.00 USD. This cost is expected to decrease significantly once the model enters production, as it only includes the expenses incurred during the development of the prototype.
It is important to note that none of the discovered machines weigh less than the prototype that is being displayed, which weighs just 15 kilograms. This has a significant impact on shipping or mobility if there is a need to move them. Given that the prototype will be created as an application based on a client-server architecture, it allows for the specification of the technology stack that facilitates seamless development on both the client side (HMI) and the server side (REST API) utilizing the HTTP communication protocol.
As the application is conceived as a multi-repository system, with separate source code for the client and server along with their dependencies, deploying applications becomes more straightforward. This is achieved by embedding the server in a micro-controller (ESP32), while the client can take various forms such as a desktop, web, or mobile application ().
The main challenge lies in managing dependencies and the learning curve associated with different technologies. On the server, languages like C++ for Arduino or Micro-Python for ESP32 can be used. Available cross-platform technologies include Flutter, React, and Xamarin, each utilizing different languages (). According to the study by , flutter has experienced rapid adoption due to its user-friendly nature and architecture based on widget composition, as also evidenced in Mamoun’s work ().
To ensure an optimal development experience, the decision has been made to use a single language throughout the development cycle. Micro-Python was chosen for this purpose, allowing rapid creation using the Microdot framework for building the REST API. Additionally, the Flet framework is used, enabling the use of the Python language for developing cross-platform applications, with Flutter as the underlying technology ().
With the selected technology stack, the creation of an application supporting multiple platforms on the client side and a scalable structure on the server side has been achieved, using a single language. This reduces the learning time required for syntax and low-level functionality of various technologies and improves the workload needed for interconnecting visual components with the necessary controllers in the prototype.
4. CONCLUSIONS
The prototype meets the initial technical requirements set by the company in terms of dimensions, selection of materials, construction budget, control system, production times and quantity along with the record of its statistics.
Calibrating the lighting at a value of 32 lux allows the photoelectric sensor to detect 100 % of elements within the working range of 10 cm, allowing the system to generate continuous work without stoppages or errors, which increases its performance and production.
The packaging system has a capacity to process sixteen bottles per minute and its manufacturing cost is 4,035.00 USD, considering that being a prototype its cost increases compared to systems that are continuous production as analyzed in the discussion. In this sense, the bottling system is a viable option for small and medium-sized industries that are in the process of continuous growth.
The use of a PID controller has made it possible to optimize the production of the machine by precisely synchronizing the arrival time of the bottles at the beginning of the unloading area, which reduced costs due to the reduction of instrumentation and actuators in this stage of the process.
The development of a production statistics management and storage application using a single programming language and the appropriate selection of client-server architecture used in programming optimized the management and synchronization of the visual components, database and control logic of the prototype.
The machine allows you to record production statistics, bottle content, advance speed, production time, among the main ones. This information is necessary to generate a process of continuous improvement and adequate quality control, which generates an advantage over traditional systems that exist on the market.















































