1. INTRODUCTION
Hydraulic concrete is the second most consumed material in the world after water. In the construction industry, it is one of the main elements used to carry out construction works, due to the different properties it can contain, such as resistance, corrosion, durability, etc. (Flores Fernandez et al., 2019; Grinys et al., 2020), being the material that is used in large quantities worldwide (Da Silva et al., 2017). Likewise, fine and coarse aggregates form the skeleton of concrete and generally occupy 60-75 % of the volume (Yaragal et al., 2019). One of the constant and increasingly asked questions is whether the deposits are suitable for preparing concrete (Oliveira et al., 2020). Aggregates can greatly influence the fresh and hardened properties of concrete, in particular by their shape and size characteristics (Güçlüer, 2020). The different mechanical properties mainly depend on the material attributes to make concrete strong and durable (Qing-Xiang et al., 2020). Such that, each professional controls the quality according to his experience (Orozco et al., 2018).
However, in the construction industry (García et al., 2023), the environmental issue should not only be seen by using natural ingredients, but also the recycling of materials from those found on riverbanks or beaches, the use of these materials can reduce costs (Fadzilla Sari et al., 2020). River sediments as aggregate material for concrete production have been investigated by various researchers (Yan et al., 2022). In addition, 30 % of the sediment volume is mainly sand and is easily reusable, for concrete (Beddaa et al., 2020). Nevertheless, in many cases, in order to use this material, it is necessary to transport it from long distances to the source of origin, where prices increase considerably, one of the solutions is that the processed coarse aggregate is replaced by natural granular material (Zega et al., 2006).
This is of increasing concern as this material presents different durability problems, as a result of the passage of time and the interaction with the environment (Solís-Carcaño and Alcocer-Fraga, 2019). Thus, the reuse of river sediments as aggregates becomes a sustainable management technique since it offers the potential to obtain economic benefits by reducing up to 41 % the cost of concrete production (Beddaa et al., 2021). Recap, that the use of natural stone aggregates is especially resilient, as their procurement is net from river beds for concrete production (Tugrul Tunc, 2018). Emphasizing a problem of scarcity of natural aggregate materials, priority is given to the use of river aggregate, which is a mixed material between aggregates and sands. In relation to this, the search for a new source of fine aggregate substitute for the production of concrete, which can be substituted naturally by river granular material is important (Ararsa et al., 2018). Currently, in Peru there are few scientific studies on the use of river aggregate as a total substitute for quarry aggregate, that is a gap existing until today.
While research demonstrates relevant data using river granular material, the findings of Aïssoun et al. (2015) show that concrete produced with crushed stone exhibited a 22-42 % lower surface slump compared to similar concrete made with river aggregate. Additionally, the increase in fines content from 8 to 18 % led to a significant reduction in slump due to the fine particles in the sand aggregate. Mixes made with crushed aggregate had 10 % higher compressive strength at 56 days than those with river aggregate. However, other researchers, Duc-Trong et al. (2022), mentioned that crushed sand in an optimum amount was 5 to 10% by mass has a favorable effect on the workability and strength of concrete. Likewise, the researchers, Limantara et al. (2017), mention in their findings on the compressive strength test that employing the natural river material, they obtained a value of 19.47 MPa while with a crushed mixture, they obtained a value of 21.12 MPa, respectively at 28 days of curing.
Other research studies according to Eziefula et al. (2020) showed that the compressive strength increased with granite by 38.13 N/mm2, river stone by 34.57 N/mm2 and local stone by 31.96 N/mm2 with the river aggregate being higher than local stone. On the other hand, according to Laserna and Montero (2016), they obtained a 15 % increase in compressive strength for natural river aggregates with a substitution ratio of 100 %, while a decrease of approximately 10-25 % was observed for crushed natural aggregate mixtures. With respect to flexural strength, according to Hachani et al. (2017), they mentioned that the flexural strength increased by 46 % in 28 days compared to concrete with crushed aggregate. Finally, it was concluded that a concrete with pebbles will be better employed in concretes with medium strength or non-structural concrete.
Few studies have been carried out on the total substitution of fine and coarse aggregate from quarries by river aggregate in the concrete mix, presenting a current knowledge gap on the certainty of its adequate use or not in structural concrete. This work contributes on the use of the total substitution of fine and coarse aggregate by river aggregate, in order to reduce the exploitation and overexploitation of aggregate quarries in the highlands of Peru, and on the use that can be given to river aggregate specifically depending on the characteristics of this material. This generates the feasibility of its use for the construction of structural or non-structural elements to the surrounding communities.
2. MATERIALS AND EXPERIMENTAL PROCESS
Ordinary Portland Cement
Ordinary Portland cement Type I (OPC) - Weight 42.50 kilograms was used to obtain a conventional hydraulic binder without any type of additive. The properties of cement are listed in Table 1.
Processed aggregate and river aggregate
The aggregates used in the preparation of the concrete were: fine aggregate and coarse aggregate from quarries. The quarry aggregate was obtained from two locations, the first was the Huaquillo quarry and the second the Portachuelo quarry, extracted from the city of San Ignacio, Cajamarca, Peru. The characteristics of the fine and coarse aggregates of the quarries analyzed are shown in Table 2, the granulometric curves of the river aggregates are shown in Figure 1 and of the quarry aggregate in Figure 2. The granular materials used are shown in Figure 3.
The results do not vary with the quarry aggregates because the river aggregate maintains a heterogeneous mixture, since it was obtained from two different natural quarries, the first A (Huaquillo) located at coordinates E 729 061.48 m; S 9 311 862.87 m, and the second B (Portachuelo) located at coordinates E 727 478.96 m; S 9 435 647.70 m.
Fresh state testing
The mixtures were prepared in a laboratory mixer, in a typical procedure, proceeding to the placement of the materials in the mixer, in a total mixing time of 8 minutes. Once the mixing procedure was completed, slump tests were performed using the Abrams cone according to ASTM C143 and on the other hand, the unit weight and air content were measured using the Washington pot according to ASTM C138 and ASTM C231, respectively, and finally the temperature was recorded with a digital thermometer under ASTM C1064.
Hardened state testing
The compressive strength according to ASTM C39 was performed in cylindrical molds of diameter 150 mm and height of 300 mm and for the flexural test according to ASTM C78 in prismatic molds of width, height and length of 150 x 150 x 550 mm, respectively, the specimens after demolding after 24 hours were immersed under water for test days 7, 14 and 28 days according to the conditions of ASTM C192.
Table 3 shows each description of each representative label for each study design integrating parameters such as study quarry, quarry aggregate (fine aggregate and coarse aggregate), river aggregate and theoretical strength design (F´c).
Concrete mix design
The concrete mix design was carried out under the ACI 211.1 standard, for a design strength of 175 and 210 kg/cm2 which used fine aggregate, coarse aggregate and for the mix with treatment the total replacement of 100 % of fine and coarse aggregate by river aggregate considering each study quarry, a water-cement ratio of 0.74 and 0.68 was used, being constant for each design of 175 and 210 kg/cm2, respectively, no plasticizer was used, the proportions are shown in Table 4.
Statistical model ANOVA
Tukey's block analysis of variance (ANOVA), also known as two-way ANOVA with repeated measures, is an extension of the standard analysis of variance used to compare the means of three or more groups in a repeated-measures or blocked experimental design. This type of experimental design is common in studies in which the same experimental units (subjects, samples, etc.) are subjected to different treatments or conditions at different times or situations.
3. RESULTS AND DISCUSSIONS
Effect of river aggregate on the slump, unit weight, temperature and air content
As shown in Table 5, the slump test under ASTM C143 considerations had a variation from 3.33 to 5.08 %, which is within the allowable design range of 3 to 4 inches. The unit weight under ASTM C138 considerations is shown to be denser with river aggregate than with fine and coarse aggregate, however, this is not significant when evaluated in the hardened compressive strength test. The test of temperature and air content under ASTM regulatory considerations, it was observed that they oscillate with temperatures not higher than 28 °C, and a variation between each temperature not higher than 1 °C. Meanwhile, the air content shows to be lower with the river aggregate as opposed to the fine and coarse aggregate, this is due to the porosity that the river material must contain, being inversely proportional to the unit weight.
The slump results obtained in this research are different from the findings of the authors Aïssoun et al. (2015), as they mentioned that concrete produced with crushed stone exhibited a surface slump of 22 % to 42 %, lower compared to similar concrete made with rounded coarse aggregate, the increase in fines content from 8 % to 18 % led to a significant reduction in slump due to the fine particles in the sand aggregate. With respect to tests such as unit weight, air content and temperature, there are no records to date, however, there is a not very significant variation of results in the use of fine and coarse aggregate, and samples with the total replacement of these stone materials by river aggregate.
Effect of river aggregate on compressive strength .
Figure 4 shows that the compressive strength considering the replacement of the fine and coarse aggregate by river aggregate, shows to be lower than the conventional aggregate used. This is due to the specific weight of this material, as obtained on the quarries Figure 4(a, b)
Figure 4 (c, d) shows that the specific weight of the aggregate from this quarry (Portachuelo) is lower than the aggregate from the quarry (Huaquillo) in Figure 4 (a, b), which affects the strength, this is predominant with a higher strength with the fine and coarse aggregate up to 4.39 and 7.66 % over the river aggregate for the 175 and 280 strength designs, respectively.
The results obtained differ from those found in other studies. For example, Laserna and Montero (2016) obtained an increase of 15 % in compressive strength for natural river aggregates with a substitution ratio of 100%, while a decrease of approximately 10-25 % was observed for mixtures of crushed natural aggregates. The resistances are not significantly reduced, due to the fact that the composition of the river aggregate compared to the conventional aggregate predominates the granulometric distribution, so the best gradation presents a homogeneity in the mixture and also the texture of the aggregate is vital for the adherence that it opts for with its binders against internal stresses.
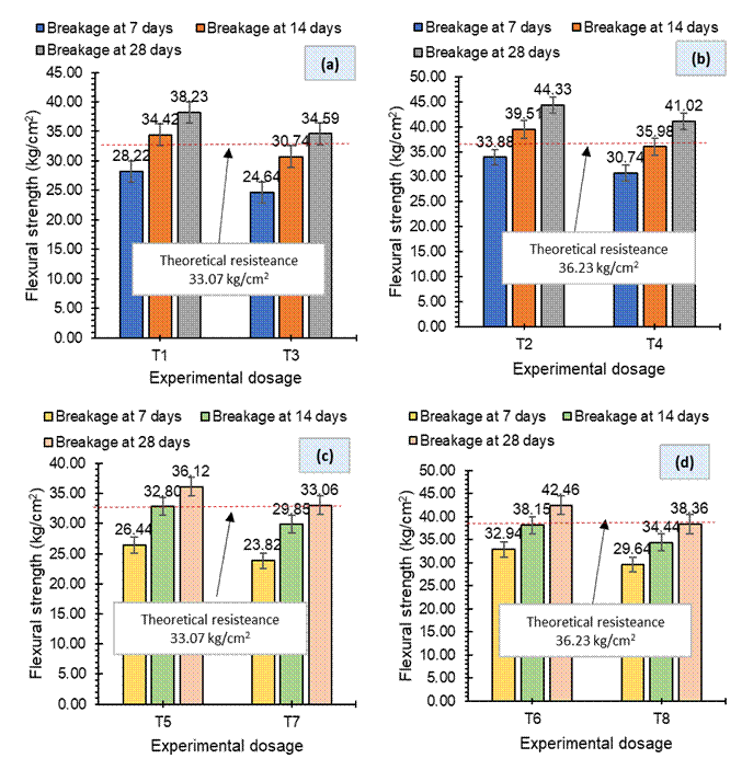
Effect of river aggregate on flexural strength
As shown in Figure 5, the results of the flexural strength are affected with the total replacement of the fine and coarse aggregate with river aggregate. However, even with total replacement, the minimum resistance of the modulus of rupture is maintained as specified in equation 1, where f'c (kg/cm2) for the flexural strength.
Showing to be within the minimum required normative parameters, since with respect to the minimum required resistance between 1 to 5 kg/cm2 above this for using river aggregate from both study quarries.
Against these results were compared and disagreed, as stipulated by the researchers Hachani et al. (2017), where they mentioned that the flexural strength increased by 45 % to 46 % in 7 and 28 days, unlike the concrete made with crushed aggregate, finally it was concluded that a concrete with pebbles will be better employed in concretes with medium strength or non-structural concrete.
Statistical analysis ANOVA
According to Figure 6(a), corresponding to the variable compressive strength of design 175, the ANOVA test with blocks, presented a p-value of significance greater than 0.05 (p = 0.0549 > 0.05), i.e. there is no significant difference between treatments T5 and T7, as well as the post hoc Tukey's multiple comparisons test, showed equal letters on the box and whiskers diagrams (letter "a" in both boxes).
Figure 6(b), in reference to the variable design compressive strength 210, the p-value of significance of the ANOVA test in blocks, presented a value less than 0.05 (p = 0.00213 < 0.05), i.e., we can affirm that there is a significant difference between treatments T6 and T8, this affirmation can be supported with the Tukey multiple comparisons test, where both box plots show different letters, being treatment T6 the one that presented the significantly higher compressive strength, reaching a sample mean compressive strength of 243.33 kg/cm².
Figure 6(c), in reference to the flexural strength variable of design 175, the p-value of significance of the ANOVA test in blocks, resulted to be less than 0.05 (p = 0.000903 < 0.05). That is to say, there is a significant difference between treatments T5 and T7, also the Tukey Post Hoc test, allowed us to support establishing different letters on the box plots, finding that treatment T5, was where the significantly higher flexural strength was recorded, finding a sample average flexural strength equal to 37.18 kg/cm².

Figure 6 Boxplot with Tukey's block ANOVA and multiple comparisons of the study: according to the variable’s compressive strength (kg/cm²), flexural strength (kg/cm²) and slump test (in) for each corresponding design.
In Figure 6(d), a significant difference was also found between treatments T6 and T8, because the p-value of significance of the ANOVA test in blocks was less than 0.05 (p = 0.000683 < 0.05), likewise, Tukey's multiple comparisons test showed that the treatment that maximized the flexural strength variable was treatment T6, reaching an average sample tensile strength of 43.40 kg/cm².
In Figure 6(e), the slump test variable of design 175, we can affirm that there is no significant difference between treatments T5 and T7, because the p-value of significance of the ANOVA test in blocks presented a value greater than 0.05 (p = 0.634 > 0.05), and the p-value of significance of the ANOVA test in blocks presented a value greater than 0.05 (p = 0.634 > 0.05), as well as equal letters are observed above the box and whisker diagrams supporting the Tukey's multiple comparisons test.
Finally, in Figure 6(f), no significant difference was visualized between treatments T6 and T8 in reference to the variable settling test of design 210, where a p-value of significance greater than 0.05 (p = 0.177 > 0.05) was found, as well as equal letters in the box and whiskers diagrams, which were assigned by Tukey's multiple comparisons test.
4. CONCLUSIONS
The study shows that river aggregate significantly influences the mechanical properties of concrete by totally replacing the fine and coarse aggregate in the preparation of concrete for structural purposes, which leads to the following conclusions to be considered:
This study on the effect of river aggregate in total replacement of the processed aggregate (fine and coarse aggregate), showed reliable results on the effect of river aggregate on the design strengths of 175 and 210 kg/cm², respectively.
It was observed that with river aggregate from the Huaquillo and Portachuelo quarries, the compressive strength was lower between 3.7 % and 4.39 % and between 6.38 % and 7.62 %, corresponding to 175 kg/cm2 and 210 kg/cm2 respectively.
It was observed that with river aggregate from the Huaquillo and Portachuelo quarries, the flexural strength was reduced between 8.47 % and 9.51 % and between 7.47% and 9.66 %, corresponding to the strength of 175 kg/cm2 and 210 kg/cm2 respectively.
It is concluded that it is feasible to use river aggregate for the elaboration of structural concrete, totally substituting the independent processed aggregates over the fine and coarse aggregates, since it presented values above the theoretical design resistances.
Consider that the results obtained include certain characteristics of aggregates belonging to the highlands of Peru, which is not an indicator that can be used in different areas of the country itself or abroad, as it should be analyzed in the respective tests per location.
In addition, further studies on aggregates such as X-ray disphraction, to determine the chemical and mineralogical composition and its direct or indirect influence on the strength of concrete, as well as chemical tests, are recommended.































